5
svar
297
visningar
Delmängder och kombinatorik
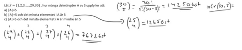
Varför kan man inte ta c(4,1) • c(29,4) på uppgift C.
Mannen45 skrev:
Varför kan man inte ta c(4,1) • c(29,4) på uppgift C.
Då får du inte med de delmängder som har flera element som är mindre än 5.
Jag förstår inte riktigt. För jag väljer ju ett av fyra element som är mindre än 5 men som tillhör mängden S och sedan väljer jag bland resten av elementen som är 29 och väljer 4.
Ah, jag såg fel (alternativt tänkte fel), jag trodde du tog 4 element som var 5 eller större.
Vad säger facit?
Om du väljer 3 först så kan du bara välja bland element som är större än 3 sedan, det är alltså C(27,4).
Facit säger 76726 st på uppgift C