1
svar
19
visningar
Den totala elektriska potentialen

Hej!
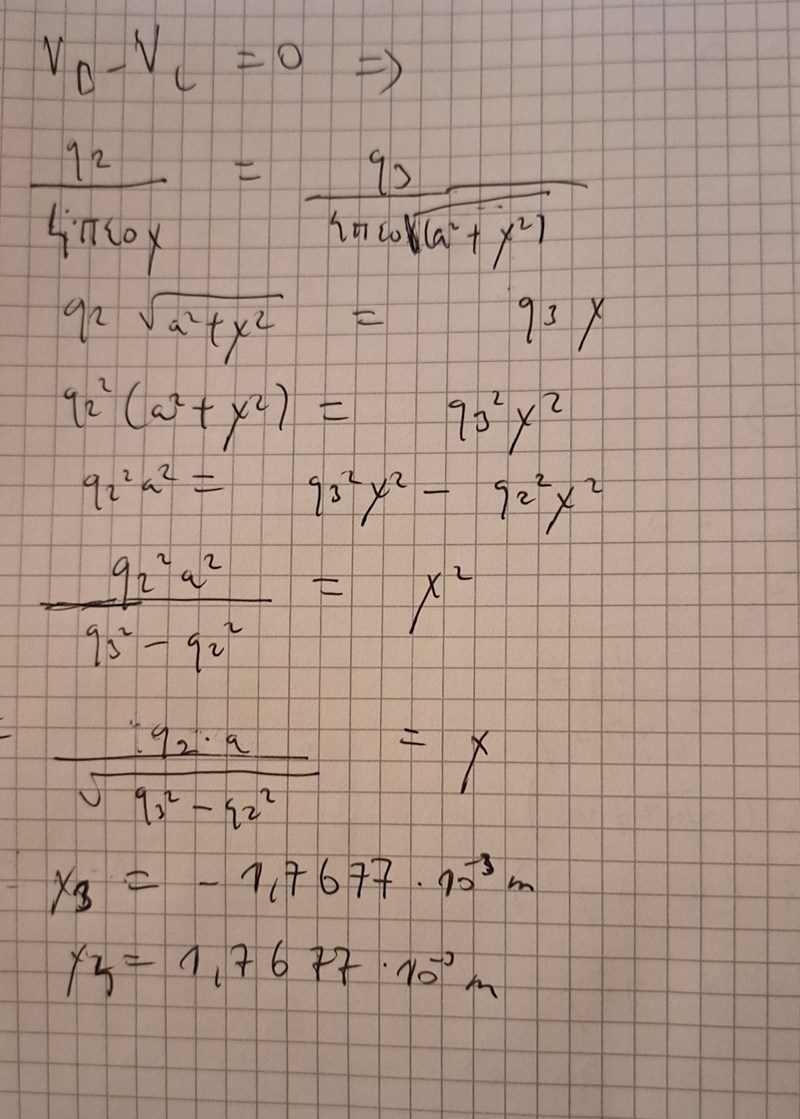
Jag fastnade på denna uppgift på grund av att jag inte vet hur man skall svara. Jag gjorde två beräkningar för q1 och q2 och sen för q2 och q3.


Den totala potentialen (borstsett från en multiplikativ konstant) är
V =
Det gäller att bestämma de y för vilka V blir noll.