8 svar
155 visningar
offan123 behöver inte mer hjälp
offan123 3072
Postad: 11 nov 2022 06:10

Densitet

Jag undrar hur jag får ut massan? Volymen vet jag redan. Jag tänkte använda formeln längst upp men får inte riktigt till det. Hur kan jag göra?

Yngve 42667
Postad: 11 nov 2022 06:54

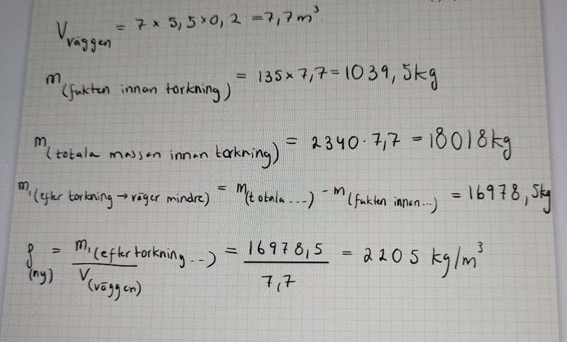
Väggens volym är 7•5,5•0,2 = 7,7 m3.

  • Fuktens massa innan torkning är därmed 135•7,7 = 1039,5 kg.
  • Den totala massan innan torkning är 2340•7,7 = 18018 kg.

Kommer du vidare då?

offan123 3072
Postad: 11 nov 2022 18:39

Massan (70% av fukten)=0,7 * 1039,5 kg

 

Densitet= 0,7*1039,5/7,7 men det blir inte helt rätt.

Yngve 42667
Postad: 11 nov 2022 20:21 Redigerad: 11 nov 2022 20:21

Efter torkning har den totala massan minskat.

Beräkna denna minskning och den nya totala massan m1

Det som efterfrågas är sedan den nya densiteten, dvs m1/7,7.

offan123 3072
Postad: 12 nov 2022 13:25

Jag får inte exakt som facit. 

Yngve 42667
Postad: 12 nov 2022 14:16

Du räknar som om all fukt försvunnit efter torkning, men så står det inte i uppgiften.

Bubo Online 8072
Postad: 12 nov 2022 14:54

Massor av snygga beräkningar i onödan här...

70% av 135kg/m3 torkar bort. 94.5 kg/m3 torkar bort.

offan123 3072
Postad: 12 nov 2022 15:25

Så här

Bubo Online 8072
Postad: 12 nov 2022 15:49

Ja.

2340-94

Svara
Close