3
svar
408
visningar
Densitet utandningsluft
Hej,
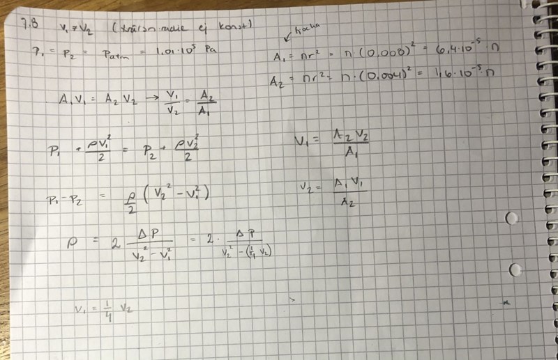
jag försöker lösa a)-uppgiften:
![]()
Såhär har jag börjat:
![]()
Har jag rätt samband, till att börja med? Och hur ska jag få ut densiteten om jag endast har areorna?
Har du möjligtvis hela figur 7.27?

yes, här är den. det står delta p i den bruna rutan
Utandningsluften har approximativt samma densitet som inandningsluften. Det beror alltså helt på relativ luftfuktighet, temperatur osv.
Mer exakt innehåller utandningsluft ungefär 4-5 % mindre syre men 4-5 % mer koldioxid vilket ökar densiteten lite. Som du säkert vet har koldioxid ca. 25 % högre densitet än syre vid STP.