1 svar
72 visningar
Majken123 behöver inte mer hjälp
Majken123 118
Postad: 31 jan 2023 18:01

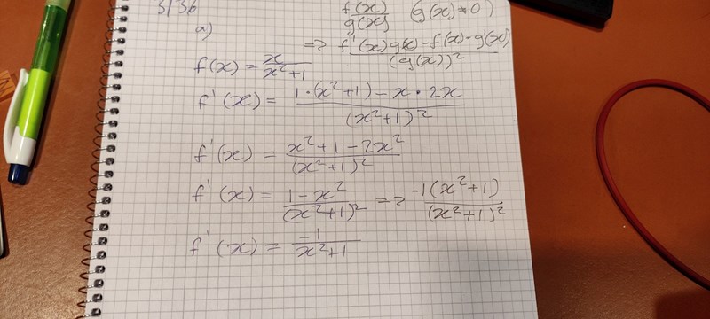
Derevering med kvotregeln

i facit väljer man att svara f'(x) =(1-x^2)/(x^2+1)^2

Är min förenkling är ändå rätt? 

Yngve 42667
Postad: 31 jan 2023 18:39 Redigerad: 31 jan 2023 18:41
Majken123 skrev:

Är min förenkling är ändå rätt? 

Nej, den stämmer inte.

Kontrollera sista förenklingen på näst sista raden genom att multiplicera in faktorn -1 i parentesen i täljaren igen. Blir det då samma som uttrycket till vänster?

Svara
Close