4
svar
141
visningar
eddberlu behöver inte mer hjälp
Derivata
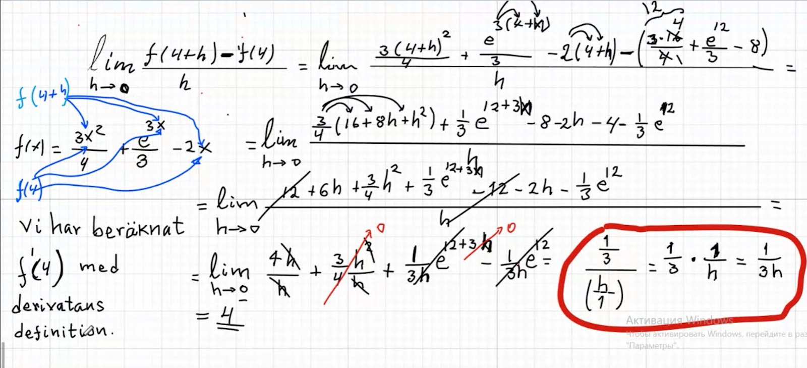
I uppgift 2112 så gjorde jag denna uträkning. 
Det var bevisligen fel.
Rätt svar är
Kan ni se vart jag gick fel?
God jul!!
Ett fel är iallafall att du tappar bort en 8:

I den videon där han går igenom rätt svar så skippar han helt den typen av uträkningen och bara tar f prim av 4. Bör jag istället bara titta på siffran i derivatans definition och göra samma sak i fortsättningen? Min version var extremt mycket mer omständig och ger potential för fler misstag.
Ja om det inte står i uppgiften att du måste använda derivatans definition när du deriverar finns det ingen anledning att använda den.
Grymt tack!