4
svar
198
visningar
Derivata 2
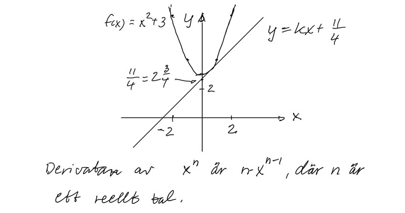
Hur ska jag göra på A? Jag vet att ekvationens m värde kommer att vara 11/4 och har försökt med att göra derivata alltså sätta in x+h osv osen lägga ekvationen jag får som y och x värde men det blir helt fel
Här hittar du olika derivator utan att använda x+h.
https://www.skolverket.se/download/18.645f1c0e17821f1d15c5fa5/1625491545779/Formelblad%20Ma3bc%202021.pdf
rapidos skrev:Här hittar du olika derivator utan att använda x+h.
https://www.skolverket.se/download/18.645f1c0e17821f1d15c5fa5/1625491545779/Formelblad%20Ma3bc%202021.pdf
Förstår intr eiktigt hur jag ska använda mig av de
Jan Ragnar skrev:
Kan du förklara med ord
