9 svar
138 visningar
Eli123be 1807 – Fd. Medlem
Postad: 23 apr 2021 21:21

Derivata 34

Hej!

Jag har fastnat på denna uppgift, där jag inte riktigt vet vad jag ska göra och hur jag ska börja, vore tacksam för hjälp!

Laguna Online 32192
Postad: 23 apr 2021 23:24

Eftersom det står derivata i rubriken kan man ju prova att derivera. 

Eli123be 1807 – Fd. Medlem
Postad: 24 apr 2021 10:02

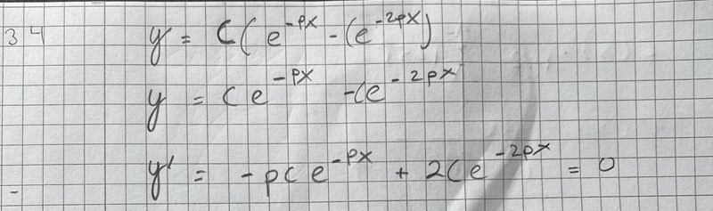
Så här långt kommer jag

Yngve 42762
Postad: 24 apr 2021 10:05

Bra, men du glömde en faktor p när du deriverade den andra termen.

Eli123be 1807 – Fd. Medlem
Postad: 24 apr 2021 10:17

oj, ja det gjorde jag , ska jag sedan bryta ut p eller ska jag flytta över ena faktorn och försöka lösa ut p genom en ekvation?

Yngve 42762
Postad: 24 apr 2021 11:56

Lämpligt är att behålla alla termer på ena sidan, faktorisera så långt som möjligt och sedan använda nollproduktmetoden.

Klicka här om du kör fast efter faktoriseringen e-2px=e-px-px=e-px·e-pxe^{-2px}=e^{-px-px}=e^{-px}\cdot e^{-px} 
Eli123be 1807 – Fd. Medlem
Postad: 24 apr 2021 21:56

Vad gör jag med 2an framför?

Laguna Online 32192
Postad: 24 apr 2021 22:00

Inget särskilt, men du hade ett minustecken på rad tre som försvann sen. 

Eli123be 1807 – Fd. Medlem
Postad: 25 apr 2021 17:48

Kommer fram till att e^-px blir 0 och det känns ju konstigt, för om jag tar ln så är ln 0 ej definierbart, hur ska jag ta mig vidare?

Yngve 42762
Postad: 25 apr 2021 18:02

Det är rätt fram till slutet, där du missar lite i faktoriseringen, se bild.

Du kan och bör alltid alltid kontrollera din faktorisering genom att multiplicera ihop den igen och se om du då får tillbaka ursprungsuttrycket.

Svara
Close