2
svar
96
visningar
mrlill_ludde behöver inte mer hjälp
derivata


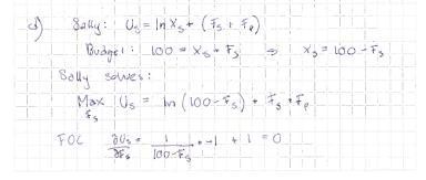
Så där har dom gjort i facit, men jag fattar inte hur det kan bli vid sista meningen vid "FOC" (first order conditions" att det blir negativ etta.
Det står väl bara gånger minus ett (den inre derivatan från )?
Alltså blir:
AlvinB skrev:Det står väl bara gånger minus ett (den inre derivatan från )?
Alltså blir:
Jahaaa, okej! tack då är jag med!