Derivata
Hej!
Hade denna uppgift på en tenta och behöver få det mer förklarat:
f(x) = x.ln(x - 1)
a) beräkna f(1 + e)
b) beräkna f'(2)
på a börjar jag: f(1 + e) = (1 + e) * ln(1 + e - 1)
f(1 + e) = (1+2,7182) * ln( 2,7182) = ca 3,7
Är det rätt?
Hur gör jag på b?
Tacksam för hjälp!
Gott nytt år alla!
På a, om du ska svara med ett närmevärde så är det rätt, men tänk på att ln(e) = 1.
på b, derivera funktionen och sätt in 2 istället för x.
a ser rätt ut. Men man kan svara exakt: 1+e.
Kan du derivera f(x)?
På a) skulle jag behållit exakt form, men annars rätt:
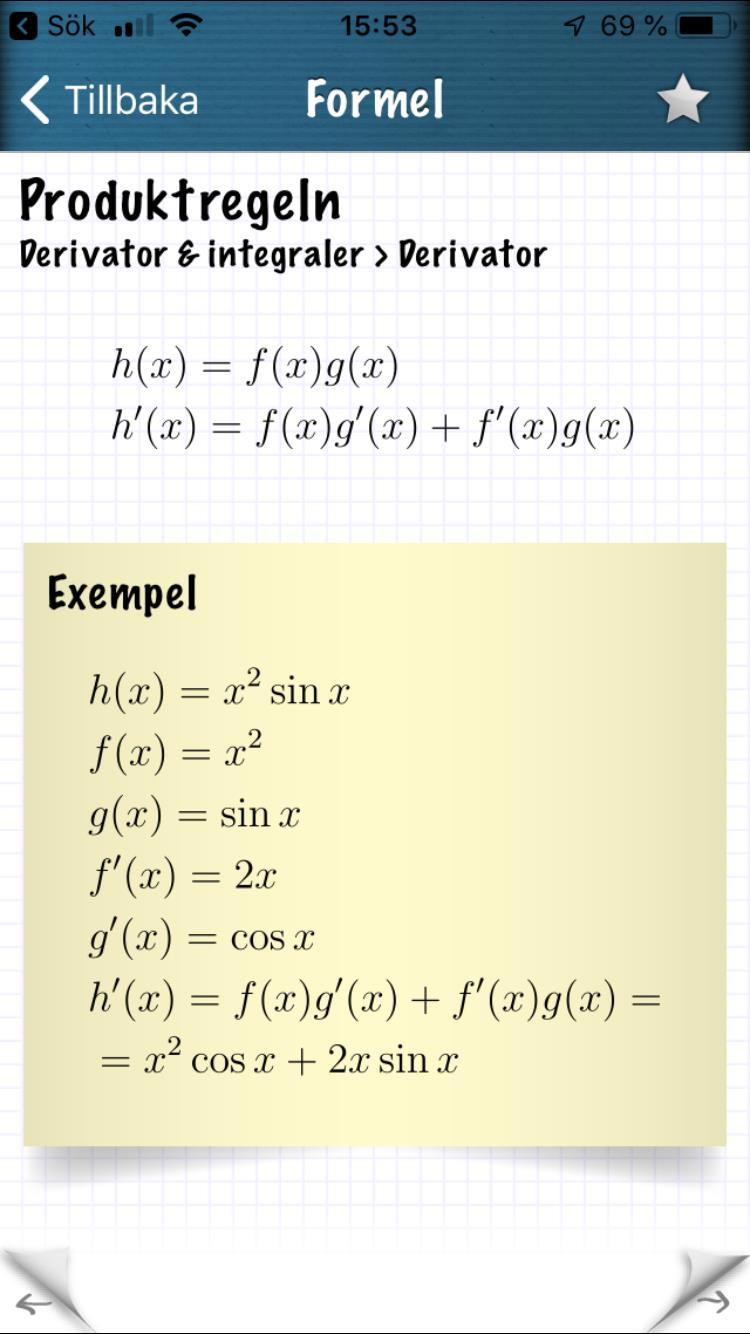
b) Produktregeln:
a) är rätt, även om du inte behöver skriva e i decimalform, eftersom ln(e) = 1. Jag skulle även låta 1 + e vara som det är, om uppgiften inte specificerat att svaret måste skrivas med x decimaler är 1 + e ett fullgott svar.
b) här måste du börja med att derivera funktionen. För att derivera måste du använda produktregeln, som säger att derivatan av funktionen är . Vad är f(x) och g(x) i detta fall? Vilka derivator har de?
Tack för alla svar! Vart lite upptagen med nyårsförberedelser men ska kika på det när tillfälle ges
Ska ja bara sätta 2 på alla ställen där x är?
Så (2)×ln(2-1)?
santas_little_helper skrev:Ska ja bara sätta 2 på alla ställen där x är?
Så (2)×ln(2-1)?
Då får du f(2).
santas_little_helper skrev:Ska ja bara sätta 2 på alla ställen där x är?
Så (2)×ln(2-1)?
Först måste du derivera f(x) för att få f'(x)
Sen sätter du in x=2 i f'(x) för att få f'(x)
O hur deriverar jag f(x) för att få f'(x)?
Gör jag som jag gjorde på a?
santas_little_helper skrev:O hur deriverar jag f(x) för att få f'(x)?
Gör jag som jag gjorde på a?
Nej, på a satte du bara in värdet och förenklade. På b-uppgiften måste du derivera först. Eftersom din funkiton är en produkt av funktionerna g(x)=x och h(x)=ln(x-1) behöver du använda produktreglen, precis som tomast80 och pepparkvarn/Smutstvätt skrev för 5 timmar sedan.
Precis, använd produktregeln, som jag skrev för fem h sen. Se exempel nedan:

f (x)= ln x
f' (x) = 1/x
f' (x) = x × 1 × 1/x-1
f' (2) = 2 × 1 × 1/2-1
Är det fel?
Är det fel?
Ja. Använd produktregeln.
santas_little_helper skrev:f (x)= ln x
f' (x) = 1/x
f' (x) = x × 1 × 1/x-1
f' (2) = 2 × 1 × 1/2-1
Är det fel?
Du har att f(x)=x ln(x-1), inte f(x)=ln x. Därför stämmer inte derivatan.
För att derivera din funktion måste du, som andra redan har påpekat, använda produktregeln.
Tänk på att din funktion skulle kunna skrivas på formen
f(x) = g(x) * h(x)
där
g(x) = x
h(x) = ln(x-1)
Produktregeln ger att derivatan kan räknas ut enligt
f'(x) = g'(x)h(x) + g(x)h'(x)
Vad är g'(x)? Vad är h'(x)?
Vad blir då derivatan f'(x)?
(Se gärna tomas exempel)
g'(x) bör väl vara 1 då va? Och h'(x) är väl 1/x. Förstår inte riktigt. Tycker det är knepigt.
Du är på rätt väg.
g'(x)=1 , som du säger,
men 1/x är derivatan för ln(x) och inte derivatan för h(x)=ln(x-1).
När du rättat till det, har du alla ingredienser du behöver för att kunna tillämpa produktregeln enligt det recept som du fått av Tegelhus m fl. Resten är inget att förstå – det är bara att noggrant följa receptet. Pröva!
h(x)= 1/x-1
eller?
santas_little_helper skrev:h(x)= 1/x-1
eller?
Använd parenteser!
1/(x-1) ska det vara.
Okej tack och där då byter jag ut x:et mot 2 då va? Så om g' (x) =1 och h (x) = 1/(x-1) måste det väl bli
= 1 * 1/(x-1) + 2 * 1/(2-1)
eller?
santas_little_helper skrev:Okej tack och där då byter jag ut x:et mot 2 då va? Så om g' (x) =1 och h (x) = 1/(x-1) måste det väl bli
= 1 * 1/(x-1) + 2 * 1/(2-1)
eller?
Nu verkar du ha skrivit g'(2)*h'(x) + g(2)*h'(2).
Andra halvan är rätt, men inte första. Du ska ha g'(2)*h(2) där.
1* 1/(2-1) + 2 * 1/(2-1).
Så?
santas_little_helper skrev:1* 1/(2-1) + 2 * 1/(2-1).
Så?
Nej. Vart tog ln vägen?
santas_little_helper skrev:1* 1/(2-1) + 2 * 1/(2-1).
Så?
Kom ihåg att skilja på h(x) och h'(x). Den andra termen är g(2)h'(2), vilket stämmer med vad du har skrivit. Den första termen ska då vara g'(2)h(2), men vad har du skrivit istället?
2 × 1/(2-1) + 2× 1/(2-1)
Så va? Så svaret blir då 2+2 alltså 4 eller?
Blir inte ln 1/(x-1) och då behöver man väl inte skriva ut det eller?
Skriv steg för steg från början vad du gör.
f' (x) = g' (x) h (x) + g (x) h' (x)
g' (x) = 1
h (x) = 1/(x-1)
2 × 1/(2-1) + 2 × 1/(2-1)
= 2+2=4
Nej det stämmer inte.
Skriv upp allt och alla stég.
Börja med att konstatera att x > 1 eftersom logaritmen endast är definierad för positiva argument.
Förslag:
f(x) = g(x)*h(x), där
- g(x) = x
- h(x) = ln(x-1)
Det betyder att
- g'(x) = 1
- h'(x) = 1/(x-1)
Eftersom produktregeln lyder
f'(x) = g'(x)*h(x) + g(x)*h'(x)
så får vi att
f'(x) = 1*ln(x-1) + x*1/(x-1)
Nu kan du beräkna f'(2).
Okej.
f(x) = g(x)*h(x), där
g(x) = x
h(x) = ln(x-1)
Det betyder att
g'(x) = 1
h'(x) = 1/(x-1)
Eftersom produktregeln lyder
f'(x) = g'(x)*h(x) + g(x)*h'(x)
så får vi att
f'(x) = 1*ln(x-1) + x*1/(x-1)
f'(2) = 1*2,7182(2-1) + 2*1/(2-1)
f'(2) = 2,7182 + 2= 4,7182
Ln(2-1) har du gjort fel på
santas_little_helper skrev:[...]
f'(x) = 1*ln(x-1) + x*1/(x-1)
f'(2) = 1*2,7182(2-1) + 2*1/(2-1)
[...]
Det fetmarkerade ovan stämmer inte.
Den naturliga logaritmen "ln" är en funktion, inte ett värde.
ln(x) är det tal som e ska upphöjas till för att resultatet ska bli x.
Med andra ord: ln(x) = y innebär att e^y = x.
Du kan läsa mer om ln här.
Exempel:
- ln(2) 0.69 eftersom e^0.69 2.
- ln(4) 1.39 eftersom e^1.39 4
ln(2-1) = ln(1) = ....
Om du inte känner till detta värde så kan du antingen tänka ut vilket tal som e ska upphöjas till för att resultatet ska bli 1.
Eller så kan du använda din räknare 😀
Ahh okej. Blir 0.
f'(2) = 1*ln(2-1) + 2*1/(2-1)
=ln(1)= 0 + 2
santas_little_helper skrev:Ahh okej. Blir 0.
f'(2) = 1*ln(2-1) + 2*1/(2-1)
=ln(1)= 0 + 2
Ja.
, eftersom .
På samma sätt gäller för tiologaritmen att , eftersom .
Detta gäller även för andra baser, t.ex. , eftersom .
Jämför gärna grafen till med grafen till med hjälp av din grafräknare, desmos eller liknande. Ser du att de är varandras spegelbilder i linjen ?
Gör samma sak med andra baser, ex och eller och .
--------
Men du bör inte skjuta in "=ln(1)=0=" i din uträkning på det sättet. Skriv istället så här:
f'(2) = 1*ln(2-1) + 2*1/(2-1) = ln(1) + 2/1 = 0 + 2 = 2.
Okej fint tack så mycke!