4 svar
126 visningar
Am00 behöver inte mer hjälp
Am00 228 – Fd. Medlem
Postad: 4 apr 2020 14:57

Derivata

Hej,

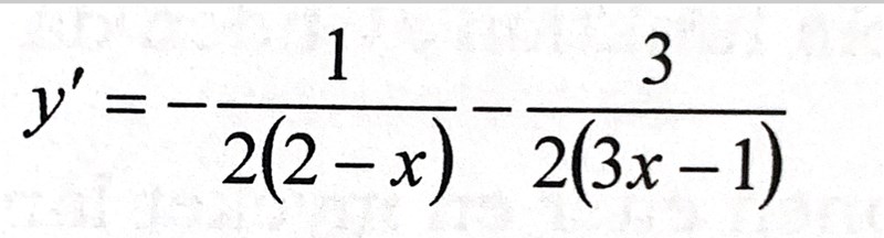
stämmer det att derivatan av y=ln ((2-x)/(3x-1))^0,5 är -5/(4-2x)(3x-1) eller har jag räknat fel? I facit står en annan svar, så undrar om min också räknas som rätt eller inte? 

joculator 5200 – F.d. Moderator
Postad: 4 apr 2020 15:06 Redigerad: 4 apr 2020 15:08

Ditt svar är rätt.

Vad fick facit?

 

Edit: du skriver y=ln ((2-x)/(3x-1))^0,5    men har räknat som om det stod y=ln (((2-x)/(3x-1))^0,5)  vilket är tydligare och troligen det du menade.

Moffen 1877
Postad: 4 apr 2020 15:08

Hej!

Ska det vara y=ln((2-x3x-1)12)

eller 

y=(ln(2-x3x-1))12

?

Am00 228 – Fd. Medlem
Postad: 4 apr 2020 15:08 Redigerad: 4 apr 2020 15:13

Följande står i facit:Jag antar att det är en annan sätt att skriva svaret på 

Am00 228 – Fd. Medlem
Postad: 4 apr 2020 15:09
Moffen skrev:

Hej!

Ska det vara y=ln((2-x3x-1)12)

eller 

y=(ln(2-x3x-1))12

?

Det första 

Svara
Close