Derivata
Hej!
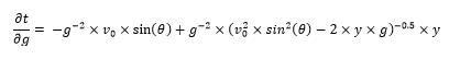
Funktionen ser ut såhär:

Jag undrar om jag har gjort rätt när jag deriverar med avseende på g:
Mvh KriAno
Du behöver använda kvotregeln (eller produktregeln om du föredrar det) på den andra termen.
Smaragdalena skrev:Du behöver använda kvotregeln (eller produktregeln om du föredrar det) på den andra termen.
Jag förstår fortfarande inte vad som är fel?
Sedan förenklar jag och får:

Om du deriverar m a p g så låter du de båda andra variablerna vara konstanter. Du kan alltså skriva din funktion som . Andr termen kan du skriva som . Vad är derivatan av f(g)?
Smaragdalena skrev:Om du deriverar m a p g så låter du de båda andra variablerna vara konstanter. Du kan alltså skriva din funktion som . Andr termen kan du skriva som f(g)=\frac{h(g)}{g}$$. Vad är derivatan av f(g)?
Har jag gjort rätt nu?:
Jag tänker inte försöka gissa vad du har gjort för att se om du har gjort rätt. Om du bara slänger upp svaret så där är det ganska liten chans att någon har ork och lust att hjälpa dig. Om du redovisar tydligt steg för steg hur du har gjort har du en mycket större chans att få hjälp.