4
svar
88
visningar
Lukas behöver inte mer hjälp
Derivata
Hej,
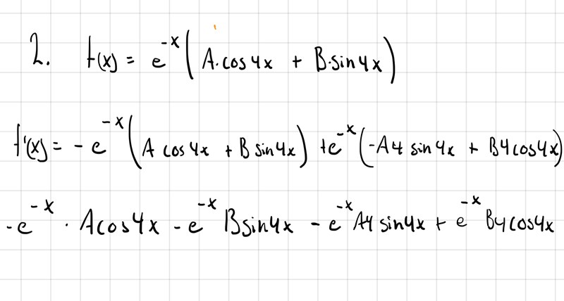
Behöver hjälp med följande uppgift.

Har försökt att derivera, men kommer längre än så.
Visa dina beräkningar.
Det är (x-1) i exponenten. (inte bara -x).
Så när du gjort om det, så faktoriserar du sin(4x) termerna för sig och cos(4x) termerna för sig och identifierar vad A och B ska vara.
OJ, slarvigt av mig....
Tusen tack, löste uppgiften nu!
