1
svar
299
visningar
Linnimaus behöver inte mer hjälp
Derivata
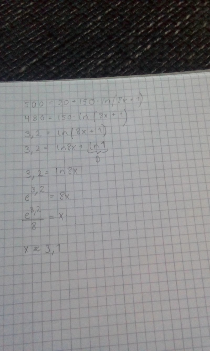
Brandkåren använder en speciell ugn vid tester. Temperaturen T(x) (C°) i en sådan ugn kan beskrivas med sambandet T(x)=20+150•ln(8x+1) där x mäts i minuter efter det att ugnen startats. Efter hur lång tid är ugnens temperatur 500°C?
Min lösning, som är fel, 
Nu har du använt lagen om alla funktioners additivitet, som är en lag som inte existerar.
Det gäller inte att
Utan när du kommer till
Så blir nästa steg att ta
Sedan fortsätter du lösa ekvationen.