Derivata, Analys i en variabel
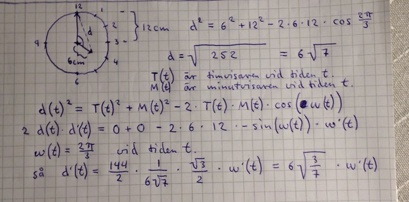
3.46) Timvisaren på ett väggur är 6 cm lång och minutvisaren är 12 cm lång. Hur snabbt ändras avståndet mellan visarnas spetsar när klockan är 4?
Mitt svar med resonemang:
d(t)^2=T(t)^2+M(t)^2-2*6*12*cos(w(t))
jag deriverar båda led och skriver d'(t) ensam i vänsterled.
d'(t)=6*sqrt(3/7)*w'(t)
Men vet ej hur jag ska få fram w'(t)?
Svaret ska vara 11pi*sqrt(3/7)
Välkommen till Pluggakuten!
Standardfråga 1a: Har du ritat? Det ä ri alla fall så jag skulle börja med den här uppgiften - rita, och definiera vad alla variabler betyder.
Jag lyckas inte tyda vad dina ekvationer betyder. Eftersom variabeln är t antar jag att de olika funktionerna är tidsberoende.
Hur stort är avståndet mellan visarspetsarna exakt klockan 4?
Vilket samband använder du för att beskriva hur spetsen av timvisaren rör sig? Vilket samband använder du för att beskriva hur spetsen av minutvisaren rör sig?
Hur beräknar du T(t) respektive M(t)? Jag aförstår inte vad du menar med "T(t) är timvisaren vid tiden t" respektive "M(t) är minutvisaren vid tiden t". Är det något endimensionellt eller tvådimensionellt?
Hur snabbt roterar timvisaren? Hur snabbt roterar minutvisaren?
Är w’ kopplat till detta på något vis? Vilket tecken borde vi få på d’?
Smaragdalena skrev:Hur beräknar du T(t) respektive M(t)? Jag aförstår inte vad du menar med "T(t) är timvisaren vid tiden t" respektive "M(t) är minutvisaren vid tiden t". Är det något endimensionellt eller tvådimensionellt?
Jag tror hen ser T och M som ortsvektorerna från centrum till visarnas spetsar. Men notationen kunde varit bättre, då T och M ibland står för visarnas längder istället.
Ställ helst inga följdfrågor. Visa i stället ett lösningsförslag.
Ställ helst inga följdfrågor. Visa i stället ett lösningsförslag.
Du verkar ha missförstått meningen med Pluggakuten. Meningen med Pluggakuten är att du skall få den hjälp du behöver för att kunna lösa dina uppgifter själv, inte att någon annan skall servera dig färdiga lösningar på dina problem. Om du inte vill ha följdfrågor och ledtrådar har du vänt dig till fel forum. Vi tänker inte göra dia läxor åt dig. /moderator
Det är ingen läxa. Jag vill bli bättre på matematik och det bästa sättet är att hjälpa varandra. Om du skriver i namn för pluggakuten och bara provocerar igång gräl får jag vända mig någon annanstans. Ska ej tipsa de mina om pluggakuten något mer.
Undrar skrev:Det är ingen läxa. Jag vill bli bättre på matematik och det bästa sättet är att hjälpa varandra. Om du skriver i namn för pluggakuten och bara provocerar igång gräl får jag vända mig någon annanstans. Ska ej tipsa de mina om pluggakuten något mer.
Du har i stora drag tänkt rätt, trots lite konstig notation, vi vill ju att du skall komma på den sista lilla delen själv. Har w’ något med visarnas rotation att göra? Vad är w’?
Jag skulle haft T(t) och M(t) som vektorstorheter och T och M för att beteckna vektorernas belopp, eftersom vektorerna beror av tiden men deras belopp är konstant.
Jaha, eftersom vår kära student försvann i vredesmod får vi väl presentera sista pusselbiten här för den intresserade.
w i studentens beräkningar är vinkeln mellan visarna. Vinkelns förändringstakt w’ är skillnaden mellan visarnas vinkelhastigheter.
Vinkelhastigheten för minutvisaren är 2pi rad/h och vinkelhastigheten för timvisaren är 2pi/12 rad/h.
Vilket ger w’ = - 11pi/6 rad/h, som ger ett d’ i överensstämmelse med facit, fast med rätt tecken.
