Derivata av flervariabler
Hej!
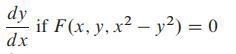
Vet inte hur jag ska göra här, tips uppskattas. Man ska använda notationen för F1, F2, F3 för partial derivatives av F. Uppgiften är i bilden nedan:
Tack på förhand.

Har du provat kedjeregeln?
Ja, men gick ingen bra:(
Visa hur du försökte. Vi som svarar här är bra på matte, men vi är usla tankeläsare.
Hej Smargdalena.
Jag deriverade termerna så som de står, fick första termen till 0, och andra till dy/dx, tredje 2x, fjärde 2y*dy/dx
Vad är det för termer du pratar om? Vad är derivatan om f(x)=x? Vad är derivatan av f(x)=x2-(y(x))2? Vad är det för fjärde term du nämner? Jag hittar bara tre funktioner.
Tänkte jag rätt?
EDIT: Ska stå 1 istället för 0 i bilden ovan
Nej, vad hände med F?
Du har F(x,y,z) = 0, där z(x,y) = x^2 - y^2.
Tack så mycket Dr. G. Uppgiften blev tydligare nu. Jag tänkte aldrig att det var F(x,y,z) utan jag tänkte att det var en funktion av x och y bara.
Jag ger det ett försök!

Stämmer det nu?
Smaragdalena skrev:Vad är det för termer du pratar om? Vad är derivatan om f(x)=x? Vad är derivatan av f(x)=x2-(y(x))2? Vad är det för fjärde term du nämner? Jag hittar bara tre funktioner.
Missade ditt svar!
Så egentligen är det lättast att skriva: F(x, y, z(x,y)), men blir det rätt ens?
Svaret kommer att innehålla derivator av F. (F1, F2, F3 enligt given notation.)
F1 är derivatan med avseende på x
F2 -""- y
F3 -""- z
Men jag sitter fortfarande fast:(
Det borde bli så här om man deriverar m.a.p x:
Jag hoppas att notationen är korrekt. Derivatan ovan blir 0 då F = konstant på nivåkurvan. z(x,y) har du och
kan då räknas ut.
Jag förstår fortfarande inte vad svaret är :(
Ska man inte svara i termer av dy/dx och inte de snea d:en, för i Dr. Gs svar finns det de snea d:en med. Eller har jag missförstått det hela?
