4
svar
70
visningar
F.Blue behöver inte mer hjälp
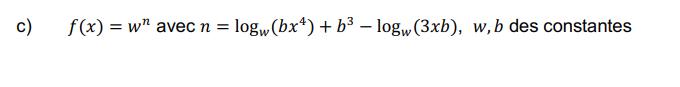
Derivata av logaritmer
Hej! Hur kom de fram till svaren nedan? Hur går man generellt tillväga för att lösa derivata av logaritmer som inte är ln?



Börja med att förenkla differensen av logaritmerna.
Du kan alltid byta bas på logaritmen till e om du vill. Vet du hur?
Okay! Hur byter man bas?
Kvoten av två logatitmer är oberoende av bas
Du kan då ta y = b så får du
Förenkla VL
Det gick att lösa nu. Tack!