2
svar
101
visningar
Derivata av logaritmiska ekvationer
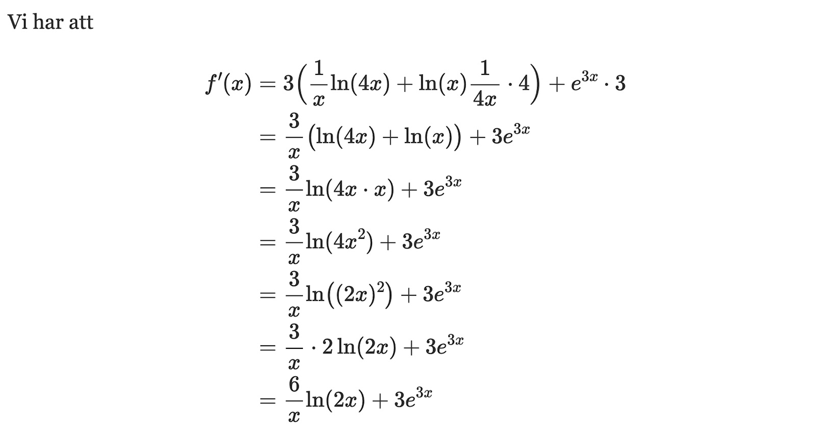
Hej i denna uppgift så stämmer mitt svar inte över med facit, dock så tror jag inte att jag har fel och funderar på ifall det är en sorts omskrivning kan någon isåfall förklara denna omskrivning/ förenkling. 

Bryt ut 3/x och använd logaritmlagen ln(a)+ln(b) = ln(ab)
Skriv sedan om 4x2 som (2x)2 och använd logaritmlagen ln(ab) = b*ln(a)

https://mathb.in/80636