Derivata av matris
Om (Hur skriver man inreprodukter snyggt?)
Varför är ?
Man deriverar helt enkelt summan term för term.
Är det något särskilt som förvirrar dig?
Smutsmunnen skrev:Man deriverar helt enkelt summan term för term.
Är det något särskilt som förvirrar dig?
Förstår inte riktigt hur vi får Det blir inte bara ?
Zeshen skrev:Smutsmunnen skrev:Man deriverar helt enkelt summan term för term.
Är det något särskilt som förvirrar dig?
Förstår inte riktigt hur vi får Det blir inte bara ?
Nä de flesta termer i summan innehåller inte x_i. Du får inte blanda ihop i som summationsindex med i i .
Jag antar att det är det som förvirrar. Så då kan vi vara mer konkreta, antag att vi ska beräkna
där
De flesta termer i den summan innehåller inte och blir 0. Bara om i=1 eller j=1 får vi nollskild derivata på den termen.
Jag kan hålla med om att det blir förvirrande, i din ursprungliga post borde de ha skrivit
eller liknande så att man inte blandar ihop de två olika "i".
Smutsmunnen skrev:Zeshen skrev:Smutsmunnen skrev:Man deriverar helt enkelt summan term för term.
Är det något särskilt som förvirrar dig?
Förstår inte riktigt hur vi får Det blir inte bara ?
Nä de flesta termer i summan innehåller inte x_i. Du får inte blanda ihop i som summationsindex med i i .
Jag antar att det är det som förvirrar. Så då kan vi vara mer konkreta, antag att vi ska beräkna
där
De flesta termer i den summan innehåller inte och blir 0. Bara om i=1 eller j=1 får vi nollskild derivata på den termen.
Jag kan hålla med om att det blir förvirrande, i din ursprungliga post borde de ha skrivit
eller liknande så att man inte blandar ihop de två olika "i".
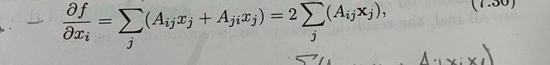
Ah, tack! Så här skrev boken:

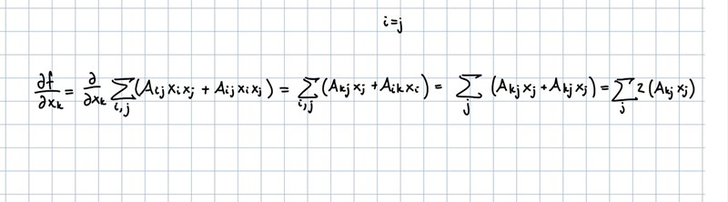
Jag försökte härleda formeln så här:
