Derivata för cosinus & sinus
Hej! Jag undrar om jag tänkt rätt hittilis och hur jag kommer vidare i uppgiften.
svaret ska vara: 0
uppgiften: Bestäm derivatan av sin²x+cos²x: Förklara resultat
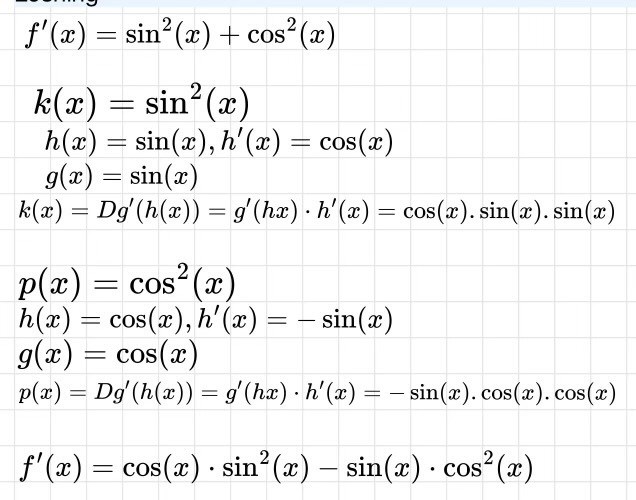
Min lösning: Använda mig av kedje regeln för båda funktionerna. Och sedan adderade jag derivatorna. Döpte den sammansatta funktionen för sinus till k(x) & för cosinus till p(x) bara för att skilja de åt i beräkningen. Punkterna mellan sin(x) & cos(x) ska vara multiplikation tecken. Det är bara min omvandling app som skriver ut det lite märkling ibland

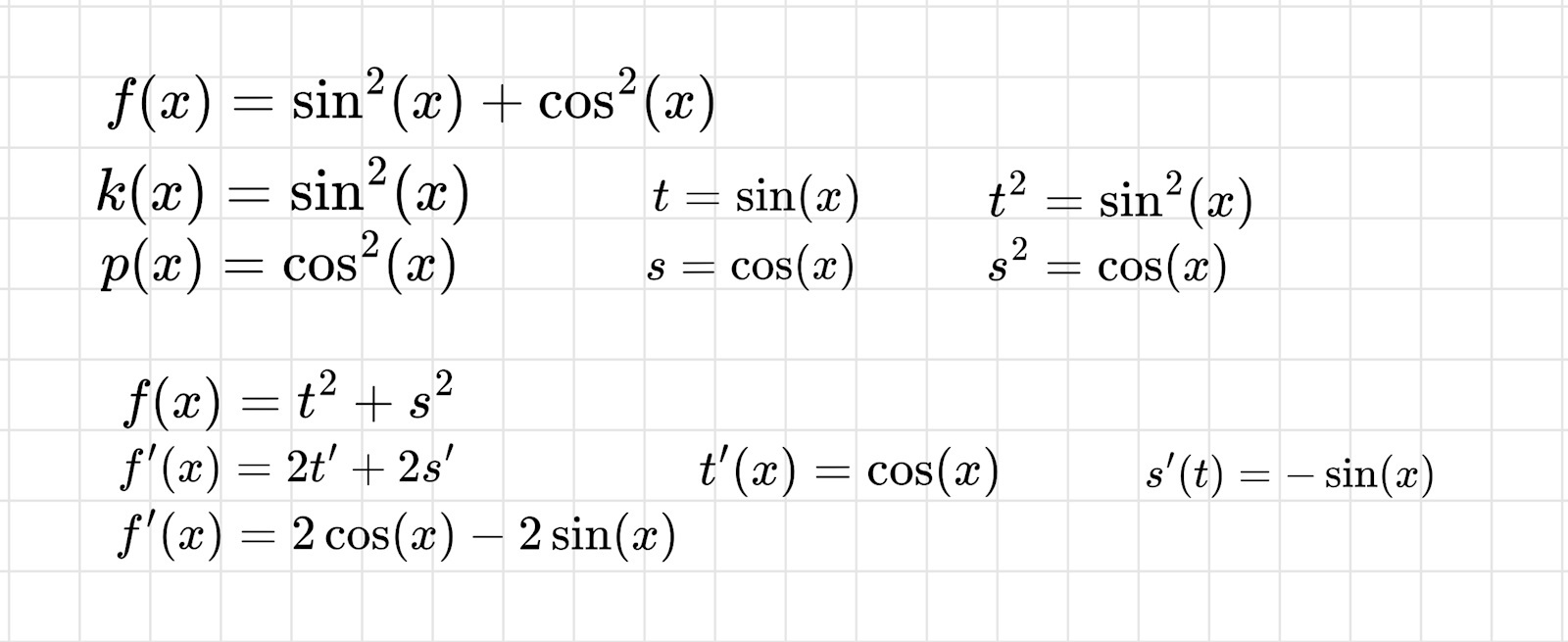
Om vi tar exemplet
f(x) = sin2(x)
Sätt t = sin(x), dt/dx = cos(x)
f(t) = t2, df/dt = 2t
använd kedjeregeln:
df/dx = df/dt * dt/dx = 2t * cos(x) = 2sin(x)cos(x)
Börja med att förenkla funktionen med trigonometriska ettan.
Smaragdalena skrev:Börja med att förenkla funktionen med trigonometriska ettan.
Tanken är nog att eleverna ska beräkna derivatans värde den krångliga vägen med hjälp av kedje- eller produktregeln och sedan förklara resultatet med hjälp av trigonometriska ettan.
Typ
"Derivatan blev 0, det var konstigt. Det måste betyda att ursprungsuttrycket är en konstant. Hmm, få se nu ... Aha!"
Så att lärdomen blir att det ofta lönar sig att tänka efter före.
Alltid svårt att veta vad som är taken bakom en uppgift. Den kunde vara tydligare om man ville tvinga eleven in på villovägar.
T.ex.
Bestäm derivatan av sin²x+cos²x med hjälp av produktregeln/kedjeregeln.
Förklara resultatet.

förstår inte vart jag gör fel
Kom ihåg den inre derivatan!
Tillägg: 14 dec 2023 21:11
Ok, den kom du ihåg. Yttre derivatan då?
Förstår inte i vilket steg jag ska derivera när jag både har t & x. Blir förvirrad vi jobbade med h(x) & g(x)
Att det blir 2x framför eller förstår inte?
Du kan även derivera en term i taget enligt:
joculator skrev:Alltid svårt att veta vad som är taken bakom en uppgift. Den kunde vara tydligare om man ville tvinga eleven in på villovägar.
I just det här fallet tycker jag att det är tydligt utifrån problemformuleringen.
Varför skulle de annars skriva "Förklara resultatet"?
Om uppgiften är formulerad som i förstainlägget tycker jag absolut att den bästa lösningen är att börja med att förenkla funktionen. Då visar man att man förstår vad man gör, inte bara räknar mekaniskt.
Smaragdalena skrev:Om uppgiften är formulerad som i förstainlägget tycker jag absolut att den bästa lösningen är att börja med att förenkla funktionen. Då visar man att man förstår vad man gör, inte bara räknar mekaniskt.
Varför skriver de då "Förklara resultatet"?

Jag löste själva derivata med produkregeln men förstår fortfarande inte riktigt vad det är för samband förutom trigg 1:an som de liksom är ute efter
Snyggt.
Det är precis trigettan de är ute efter.
Se svar #4
Oki så bra! Tack så mycket:)
Yngve skrev:Smaragdalena skrev:Om uppgiften är formulerad som i förstainlägget tycker jag absolut att den bästa lösningen är att börja med att förenkla funktionen. Då visar man att man förstår vad man gör, inte bara räknar mekaniskt.
Varför skriver de då "Förklara resultatet"?
Förklaringen ka t ex vara "funktionen har samma värde i hela sin definitionsmängd, så derivatan är 0".
Jag skulle absolut inte tycka att det vore fel att ta den långa vägen.