Derivata igen!
Nu måste jag derivera:
Jag har skrivit den som en komplex tal:
.... OCH DET ÄR FEEEEEEEL
Vad är svaret? Det blir fel när du deriverar. är en konstant, och deriveras alltså inte. deriveras till . Oavsett är det onödigt krångligt. Har du provat att använda kedjeregeln istället?
Daja, du verkar hitta på en räkneregel som säger att
1/(1+i*x) = e^(-(1+i*x))
Det saknas en logaritm i exponenten!
Varför inte skriva det på följande form istället:
Smutstvätt skrev:Vad är svaret? Det blir fel när du deriverar. är en konstant, och deriveras alltså inte. deriveras till . Oavsett är det onödigt krångligt. Har du provat att använda kedjeregeln istället?
Svar (titta i 10.3 om du vill)

@Dr: funkar det om jag lägger på en logaritm?
Jag trodde att det var en komplex tal, så vi :ar upp alltihopp.
@tomast: jag testar en implicit ;)
EDIT till tomast80: men vänta nu jag måste ff derivera till
Jo, det är ett komplext tal, men
Du kan derivera denna funktion på precis samma sätt som om det skulle stå eller framför .
Yttre funktion:
Inre funktion:
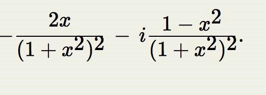
EDIT: Som Guggle påpekade har jag slarvat bort ett minustecken. Nu är det rättat. Förlåt.
Smutstvätt skrev:Yttre funktion:
Inre funktion:
Bra, fast du fuskade bort ett minustecken. . Alltså får du
Nu anses det i vissa kretsar "fult" att svara med imaginära tal i nämnaren. Därför kan man ibland vilja förlänga med konjugatet för att få det "snyggare". Alltför rigorös strävan efter detta estetiska ideal kan leda till de mest absurda svar i olika sammanhang, t.ex. i facit eller i artiklar.
Alltså multiplicerar vi både täljare och nämnare med
Implicit derivering är snyggt här:
Guggle skrev:Smutstvätt skrev:Yttre funktion:
Inre funktion:
Bra, fast du fuskade bort ett minustecken. . Alltså får du
Nu anses det i vissa kretsar "fult" att svara med imaginära tal i nämnaren. Därför kan man ibland vilja förlänga med konjugatet för att få det "snyggare". Alltför rigorös strävan efter detta estetiska ideal kan leda till de mest absurda svar i olika sammanhang, t.ex. i facit eller i artiklar.
Alltså multiplicerar vi både täljare och nämnare med

Vadå sorry, du hade ju rätt? Förutom en bortslarvade minusttecken, men ingen kommer att kasta stenet på dig för det!
tomast80 skrev:Implicit derivering är snyggt här:
Uuuuh snyggt. Men varifrån har du plockat ettan (i första raden)?
dajamanté skrev:tomast80 skrev:Implicit derivering är snyggt här:
Uuuuh snyggt. Men varifrån har du plockat ettan (i första raden)?
Man multiplicerar båda sidor med :
Möjligen lite OT, men går att bevisa kvotregeln på detta sätt:
och
Tack!
Nu är jag med! Riktigt coolt den här med implicit derivering.