3 svar
257 visningar
eddberlu behöver inte mer hjälp
eddberlu 1815
Postad: 21 apr 2024 01:21

Derivata III

Derivera
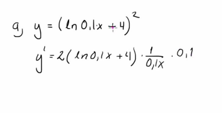
a) y=(ln0,1x+4)2


min uträkning yttre :u2          inre:ln0,1x+4inre derivatan = 1x10=10xYttre: 2uTillsammans:20x(ln0,1x+4)
Vart gjorde jag fel här?

eddberlu 1815
Postad: 21 apr 2024 01:25

Jag ser i en genomgång att man ska ta ln 0,1 och derivera den som en inre och yttre så man får 1/0,1x · 0,1. Varför då dock? Varför deriverar man så? 

Trinity2 4211
Postad: 21 apr 2024 01:36

Dela upp det i 2 steg

y(x) = (g(x))^2

y'(x) = 2 g(x) * g'(x)

 

Men, g(x) = ln(0.1x) + 4 med g'(x)=1/(0.1x) * 0.1 = 1/x

Alltså är

y'(x) = 2 g(x) * g'(x) = 2 ( ln 0.1x + 4 ) * 1/x

Yngve 42666
Postad: 21 apr 2024 08:14 Redigerad: 21 apr 2024 08:14
eddberlu skrev:

Vart gjorde jag fel här?

Felet var vid derivering av ln(0,1x)+4\ln(0,1x)+4

Termen ln(0,1x)ln(0,1x) är en sammansatt funktion, så du måste använda kedjegegeln även här.

Yttre funktion ln(v)ln(v), inre 0,1x0,1x.

Derivatan blir därför 1v·0,1\frac{1}{v}\cdot0,1 dvs 10,1x·0,1\frac{1}{0,1x}\cdot0,1, dvs 1x\frac{1}{x}

Svara
Close