3
svar
125
visningar
eddberlu behöver inte mer hjälp
Derivata och potens
Uppgiften:
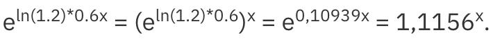
Jag har kommit hit:
Men fattar inte hur jag får e^0,10939x till 1,1156^x. Är det Ln( e^0,10939x) som flyttar ner konstanterna och behåller x i exponenten???
Vi tittar först endast på faktorn .
Den kan skrivas .
Basen kan skrivas som , vilket är lika med .
Vi har alltså att
Du kan nu derivera funktionen med hjälp av deriveringsregeln för .
Vad menar du med "har kommit hit"? Är det vad som står i facit?
Laguna skrev:Vad menar du med "har kommit hit"? Är det vad som står i facit?
Nej det är vad, jag tror du skrev, när det var en annan som också frågade om hjälp för denna uppgift.