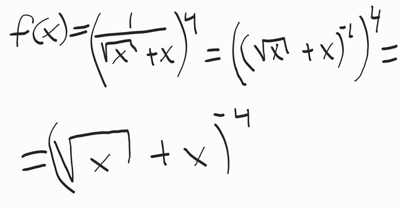
Derivatan?
Hur gör man nu för jag tänkte att man först kunde dela upp:
1/x^1/2 + 1/x
Men det går inte matematiskt. Så kan man derivera de fast de ligger nämnaren så det blir i nämnaren:
1/2x^-1/2 + 1
Sen lägger man täljaren (1) över min nämnare?
Detta känns inte rimligt. Hur ska man göra?
(Det står upphöjt med 4 dvs jag vet vad den yttre funktionen är men det är det inte funktionens derivata jag fastnar på dvs derivatan inuti parentes.)
Kan du derivera de här två funktionerna?
A(s) = 1/s
B(t) = t^(1/2) + t
Kedjereglen och kvotregeln ska användas här.
Fyran såg jag inte, men vi är säkert överens om att derivatan av s^-4 blir -4 * s^(-5)
...och så kedjeregeln på det...
Man kan använda kvotregeln också, men när funktionen i täljaren bara är en etta, så tycker jag att kedjeregeln räcker.
1 * s^-4 är ju samma sak som 1 / s^4
Så här?
Nej, börja om genom att derivera inrefunktionen först. Vad får du då?
Så här?
Nej, inte riktigt. Den där "upphöjt till minus ett" väntar vi med.
Derivera enbart sqrt(x) + x.
Det blir 0.5/sqrt(x) + 1 , som jag ser att du menar.
Då har du deriverat inre funktionen.
Den yttre funktionen är "upphöjt till minus fyra".
Sen då? När ska jag inkludera minus 1?
Inte minus ett, utan minus fyra hade du väl i uppgiften.
Derivatan av f(s) = s^-4 är -4 * s^-5
Har du koll på kedjeregeln också nu?
Var inte det positivt 4? Blir det negativt för att jag fick minus 1 förut?
Jag tänker så;

Tänkte samma sak. Ja, då tackar jag för all hjälp. Vet vad jag ska göra nu.
