4
svar
138
visningar
Philip22 behöver inte mer hjälp
Derivatan av arctanx
Jag vet att arctanx= 1+x^2
Då tänker jag mig att arctan(1/x) så blir det följande:

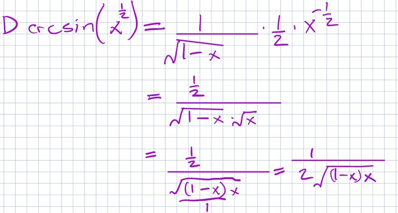
Gjorde in linkade uppgift med arcsinus där jag fick rätt svar. Varför får jag inte det att funka i D[arctan(1/x)]?

D(arctan(x)) 1 + x2.
PATENTERAMERA skrev:D(arctan(x)) 1 + x2.
Får fortsatt fel:
Hur ska jag tänka med inre derivatan? Ska jag ersätta x med 1/x?
Du har fel yttre derivata, argumentet är 1/x inte x
Calle_K skrev:Du har fel yttre derivata, argumentet är 1/x inte x
ok, tack! Lyckades få rätt svar!
Bytte ut och kallade dem för inre och yttre funktion, så gick det lättare.