Derivatan av en produkt
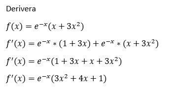
Hej, Jag har lite problem med följande uppgift:

Jag är inte riktigt säker på om jag har gjort rätt med tanke på deriveringen av e^-x. Blir derivatan densamma enligt e^x eller ska man behandla den som e^-1x som blir -1e^-1x.
Jag funderar även på i vilka fall man bryter ut en gemensam faktor (i detta fall e^-x). Ska man alltid försöka göra det i slutet eller finns det situationer då det är bättre att inte göra det?
Du gör precis det fel du sedan är inne på. Derivatan av e^-x är -e^-x vilket ger ett annat resultat.
Bryta ut gemensam faktor? Situationsberoende, men om du har samma exponentialfaktor så ja. I detta fall alltså. Du bryter ju inte ut om du har ett polynom utan konstantterm även om du ju skulle kunna bryta ut ett x där.
Det har du rätt i, jag kollade inte tillräckligt noggrant på vad du gjort för övrigt.
Du kan visst bryta ut e^-x. Du får kvar -1 i den andra halvan så du får . Sedan är det bara att förenkla uttrycket. Det är ju just på grund av att det är multiplikation som du kan bryta ut e^-x
Ja nu förstår jag. Tack så mycket för hjälpen :)
