4
svar
108
visningar
Tayzo569 behöver inte mer hjälp
Derivatan av exponentialfunktioner


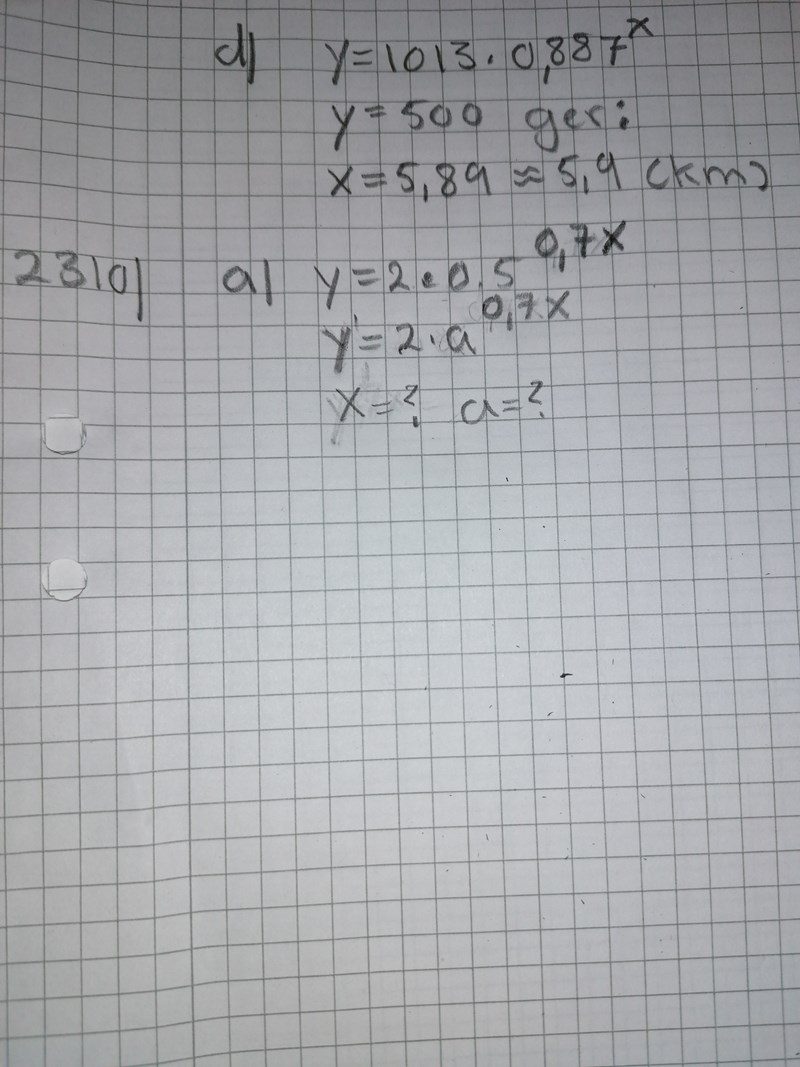
Uppgiften 2310 söker efter det a med 3st värdesiffror. Vad kan jag göra när jag kommit till två okända variabler?
Ser ut som att uppgiften vill att det bara ska stå i exponenten. Kan du skriva om funktionen på något sätt, så att det står istället för ?
x behöver du inte veta. Notera att är samma sak som . Nu vill uppgiften att du hittar a så att funktionen kan skrivas som . Vad måste då a vara? :)
Smutstvätt skrev:x behöver du inte veta. Notera att är samma sak som . Nu vill uppgiften att du hittar a så att funktionen kan skrivas som . Vad måste då a vara? :)
Y=Ca^x
Y=2*0.5^0.7x
Y=2*(0.5^0.7)^x
A=(0. 5^0.7)=0.615≈0.616
Tack för hjälpen!
Bingo! Varsågod! :)