12 svar
242 visningar
kemi123 325
Postad: 16 maj 2018 18:27

Derivatan av polynom

Vad har jag gjort fel?

(Har inget facit)

Ture 11068 – Livehjälpare
Postad: 16 maj 2018 18:32
mattelinnea skrev:

Vad har jag gjort fel?

(Har inget facit)

 Du har deriverat fel.

Det finns ingen anledning att göra liknämnigt innan du deriverar.

Derivera varje term för sig så blir det lättare.

Yngve 42405
Postad: 16 maj 2018 18:32 Redigerad: 16 maj 2018 18:34
mattelinnea skrev:

Vad har jag gjort fel?

(Har inget facit)

Du har tappat bort en faktor 2 i täljaren (inringad).

Och du hade inte behövt sätta termerna på gemensamt bråkstreck.

Men pluspoäng för att du skriver en polynom istället för ett polynom.

Smaragdalena 78892 – Avstängd
Postad: 16 maj 2018 18:39

Wikipedia (och alla matteböcer jag kan komma ihåg) säger ett polynom.

kemi123 325
Postad: 16 maj 2018 18:40

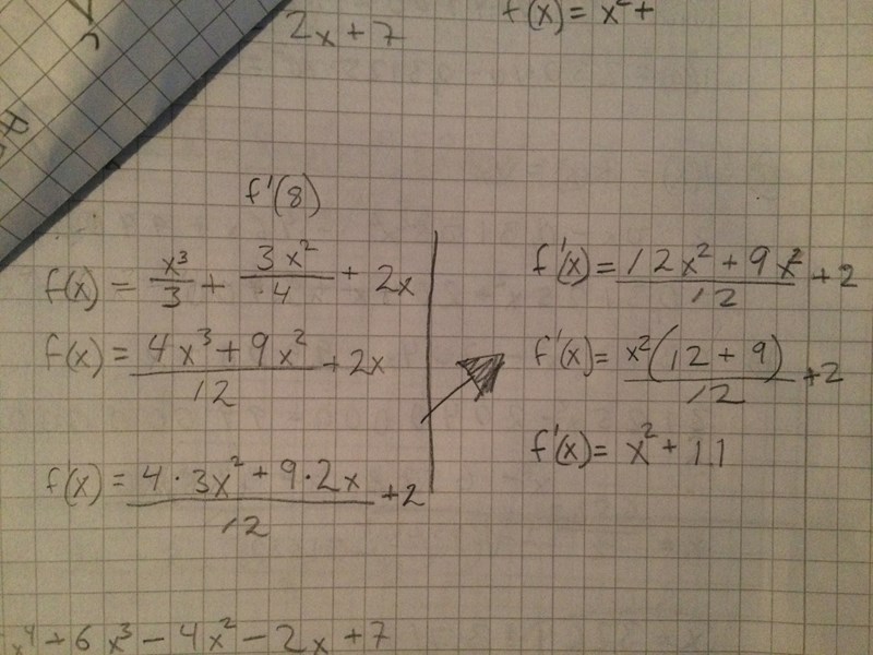
Så här?

jonis10 1919
Postad: 16 maj 2018 18:51

 Hej

Nej det är fel, Den första termen är korrekt vad händer med två i andra termen? Använd dig av: f(x)=xnf'(x)=nxn-1

Du får:

f'(x)=x2+3·2·x2-14+2·1·x1-1

Testa nu att förenkla det!

kemi123 325
Postad: 16 maj 2018 18:57
jonis10 skrev:

 Hej

Nej det är fel, Den första termen är korrekt vad händer med två i andra termen? Använd dig av: f(x)=xnf'(x)=nxn-1

Du får:

f'(x)=x2+3·2·x2-14+2·1·x1-1

Testa nu att förenkla det!

Börjar jag närma mig?

 

jonis10 1919
Postad: 16 maj 2018 19:00 Redigerad: 16 maj 2018 19:01

Ja nu är det korrekt! Förstår du vad för fel du gjorde?

Nu kan du beräkna f'(8)

kemi123 325
Postad: 16 maj 2018 19:15
jonis10 skrev:

Ja nu är det korrekt! Förstår du vad för fel du gjorde?

Nu kan du beräkna f'(8)

 Ja det gjorde jag!

Jag använde pq-formeln och fick 0,85.

är det rätt?

Alltså att derivatans värde är 0,85 när x=8? f’(8)=0,85

kemi123 325
Postad: 16 maj 2018 19:40
mattelinnea skrev:
jonis10 skrev:

Ja nu är det korrekt! Förstår du vad för fel du gjorde?

Nu kan du beräkna f'(8)

 Ja det gjorde jag!

Jag använde pq-formeln och fick 0,85.

är det rätt?

Alltså att derivatans värde är 0,85 när x=8? f’(8)=0,85

edit: insåg nu att jag hade glömt att skriva -2, alltså blir det fel för att man inte kan dra roten ur. Några tips?

Ture 11068 – Livehjälpare
Postad: 16 maj 2018 20:09

Du ska inte använda dig av pq formeln, den används när du vill lösa en andragradsekvation.

I det här fallet vill du veta derivatans värde när x = 8.

Du har beräknat f'(x), sätt in 8 istället för x i uttrycket för derivatan och förenkla!

kemi123 325
Postad: 16 maj 2018 20:34 Redigerad: 16 maj 2018 20:35
Ture skrev:

Du ska inte använda dig av pq formeln, den används när du vill lösa en andragradsekvation.

I det här fallet vill du veta derivatans värde när x = 8.

Du har beräknat f'(x), sätt in 8 istället för x i uttrycket för derivatan och förenkla!

 Så här?

Ture 11068 – Livehjälpare
Postad: 16 maj 2018 20:43

Rätt

Svara
Close