17 svar
217 visningar
Biorr Online 1405
Postad: 29 nov 2024 11:21 Redigerad: 29 nov 2024 12:10

Derivatan av polynomfunktioner

Hejsan

jag håller på med en uppgift som jag skulle behöva lite vägledning i.

Uppdaterad bild

Jag har försökt på två sätt

Men får inte samma svar

Laguna Online 32253
Postad: 29 nov 2024 11:27

Bra att du provar båda metoderna. Det första är rätt.

I den andra subtraherar du x2+8x, men du ska subtrahera 3x2-8x.

+1 ska egentligen vara med också, både i f(x+h) och f(x), men de tar ut varandra.

Biorr Online 1405
Postad: 29 nov 2024 11:37 Redigerad: 29 nov 2024 11:47

Hur ska jag få in +1 i ekvationen?

 

såhär?

Biorr Online 1405
Postad: 29 nov 2024 12:11

Hur kan jag börja med uppgift c) med derivatans definition?

(se första bild i första inlägget)

Yngve 42864
Postad: 29 nov 2024 12:34
Biorr skrev:

Hur kan jag börja med uppgift c) med derivatans definition?

(se första bild i första inlägget)

Sätt f(x)=x8-x22f(x)=\frac{x}{8}-\frac{x^2}{2}

Då är f(x+h)=x+h8-(x+h)22f(x+h)=\frac{x+h}{8}-\frac{(x+h)^2}{2}

Kommer du vidare då?

Biorr Online 1405
Postad: 29 nov 2024 12:35

Ska försöka få till det

Yngve 42864
Postad: 29 nov 2024 14:47 Redigerad: 29 nov 2024 14:52

Biorr skrev:

Hur ska jag få in +1 i ekvationen?

Jag tror att du gör det onödigt krångligt för dig.

Ett bra tips är att börja med att göra en "faktaruta" som innehåller ett uttryck för y(x) och ett uttryck för y(x+h).

Använd sedan dessa uttryck när du sätter ihop differenskvoten. Då slipper du hålla så många saker I huvudet åt gången och risken för onödiga fel minskar drastiskt.

Så här:

====== Faktaruta ======

y(x)=3x2-8x+1y(x) = 3x^2-8x+1

y(x+h)=3(x+h)2-8(x+h)+1=y(x+h)=3(x+h)^2-8(x+h)+1=

=3(x2+2xh+h2)-8x-8h+1==3(x^2+2xh+h^2)-8x-8h+1=

=3x2+6xh+3h2-8x-8h+1=3x^2+6xh+3h^2-8x-8h+1

===================

Differenskvoten y(x+h)-y(x)h\frac{y(x+h)-y(x)}{h} blir då (när du plockar från faktarutan):

(3x2+6xh+3h2-8x-8h+1)-(3x2-8x+1)h=\frac{(3x^2+6xh+3h^2-8x-8h+1)-(3x^2-8x+1)}{h}=

=3x2+6xh+3h2-8x-8h+1-3x2+8x-1h==\frac{3x^2+6xh+3h^2-8x-8h+1-3x^2+8x-1}{h}=

=6xh+3h2-8hh=h(6x+3h-8)h=\frac{6xh+3h^2-8h}{h}=\frac{h(6x+3h-8)}{h}

Kommer du vidare själv därifrån?

Biorr Online 1405
Postad: 30 nov 2024 13:43

Tack för vägledningen. Jag fixade de uppgifterna.

men på uppgift d så fastnade jag.

Yngve 42864
Postad: 30 nov 2024 13:48 Redigerad: 30 nov 2024 13:49

Ta inte så stora steg i taget.

Börja med att göra en "faktaruta" enligt tipset i svar #7.

I faktarutan kan du skriva ett uttryck för.y(x) och ett uttryck för y(x+h).

Sedan kan du sätta upp differenskvoten y(x+h)-y(x)h\frac{y(x+h)-y(x)}{h}

Biorr Online 1405
Postad: 30 nov 2024 13:55 Redigerad: 30 nov 2024 14:04

Såhär?

nånting blev fel

Biorr Online 1405
Postad: 30 nov 2024 14:41

Svaret ska vara 8e2x-1

Yngve 42864
Postad: 30 nov 2024 14:51

Kontrollera ditt uttryck för y(x+h).

Biorr Online 1405
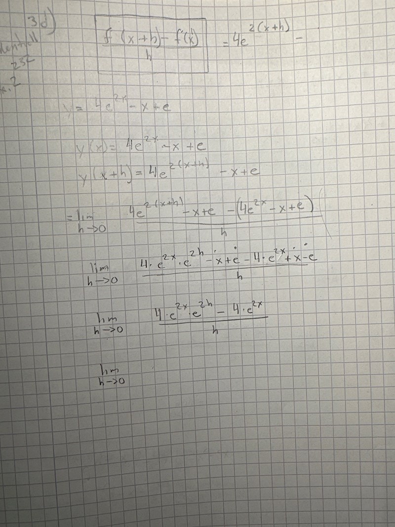
Postad: 30 nov 2024 16:12 Redigerad: 30 nov 2024 16:26

det är nog att e är med i bilden som gör det lite oklart i detta fall.

är osäker kring y(x+h)

Yngve 42864
Postad: 30 nov 2024 17:11

Om y(x) = 4e2x-x+e så är y(x+h) = 4e2(x+h)-(x+h)+e.

Biorr Online 1405
Postad: 1 dec 2024 14:42

Yngve 42864
Postad: 2 dec 2024 09:12 Redigerad: 2 dec 2024 09:14

Bra.

Nästa steg är att faktorisera täljaren.

Du får då 

y'(x)=limh0e2x(e2h-h)h=y'(x)=\lim_{h\rightarrow0}\frac{e^{2x}(e^{2h}-h)}{h}=

=e2x·limh0(e2hh-hh)=e2x·limh0(e2hh-1)=e^{2x}\cdot\lim_{h\rightarrow0}(\frac{e^{2h}}{h}-\frac{h}{h})=e^{2x}\cdot\lim_{h\rightarrow0}(\frac{e^{2h}}{h}-1)

För att fortsätta kan du använda ett så kallat standardgränsvärde, men jag tror inte att det ingår i Matte 3.

======

Måste du använda derivatans h-definition här eller kan du använda deriveringsregler?

MaKe 953
Postad: 3 dec 2024 16:36 Redigerad: 3 dec 2024 16:37

Det är onödigt att bestämma derivator genom definitionen om just det inte efterfrågas i uppgiften.

a) y'=(3x²-8x+1)'=(3x²)'-(8x)'+(1)'=3·2x-8·1+8=6x-8

d) y'=(4e2x-x+e)'=(4e2x)'-(x)'+(e)'=4(e2x)'-1+0==4e2x(2x)'-1=8e2x-1

Biorr Online 1405
Postad: 3 dec 2024 16:41 Redigerad: 3 dec 2024 16:42

Hejsan 

Det räckte egentligen med deriveringsregeln.

men jag använde bara derivatans h-definition som ett sätt att kontrollera.

Svara
Close