derivatan med avseende på första variabeln/delfunktionen
Jag har nu klurat en hel del på en uppgift och jag funderar på hur jag ska uttrycka mitt svar.
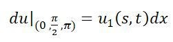
Jag har kommit fram till att:

Jag tror det är rätt "so far"...
Men, jag vet hur de ingående funktionerna s(x,y,z) och t(x,y,z) ser ut och jag kan räkna ut vad de blir i punkten (0,(pi/2),pi) . Vad jag dock har svårt att förstå/greppa är betydelsen av derivatan med avseende på första delfunktionen du/ds (eller u1(s,t)). Kan jag räkna ut den eller bör jag presentera svaret som det står skrivet ovan?
Om jag skulle försöka skriva ut den omnämnda derivatan så skulle jag få:

Det känns som jag har virrat bort mig lite här. Om någon har bra input så vore jag tacksam.
/Andreas
Hej!
Du har en reellvärd funktion () från till och du vill undersöka hur talet förändras då du förändrar variabeln Du vill studera differensen (den totala differentialen)
där
Hur mycket funktionen ändras bestäms av funktionens partiella derivator.
där samtliga derivator är beräknade i punkten
Om funktionen
så är den partiella derivatan och dess värde i punkten är , vilket ger förändringen
Albiki