Derivatan till funktionen K(t) med talet e och värde på t när K(t)=0, 000 001
Hej,
Jan kan inte lösa följande uppgifter. Jag är bara intresserad i matematisk lösningen, alltsä själv fråga är super lång, ingen kommer att läsa det, men om ni är intresserad är det en gruppaktivitet i avsnitet 3.3. Deriveringsregler för exponentialfunktioner, matte 3c, boken Exponent 3c.
Kan nån hjälpa?
DreamChild skrev :Hej,
Jan kan inte lösa följande uppgifter. Jag är bara intresserad i matematisk lösningen, alltsä själv fråga är super lång, ingen kommer att läsa det, men om ni är intresserad är det en gruppaktivitet i avsnitet 3.3. Deriveringsregler för exponentialfunktioner, matte 3c, boken Exponent 3c.
Kan nån hjälpa?
Hej.
1) Använd produktregeln och använd att derivatan av är .
Kommer du vidare då?
Det går fel tror jag...


Och det är allt jag kunde göra
Yngve skrev :DreamChild skrev :Hej,
Jan kan inte lösa följande uppgifter. Jag är bara intresserad i matematisk lösningen, alltsä själv fråga är super lång, ingen kommer att läsa det, men om ni är intresserad är det en gruppaktivitet i avsnitet 3.3. Deriveringsregler för exponentialfunktioner, matte 3c, boken Exponent 3c.
Kan nån hjälpa?
Hej.
1) Använd produktregeln och använd att derivatan av är .
Kommer du vidare då?
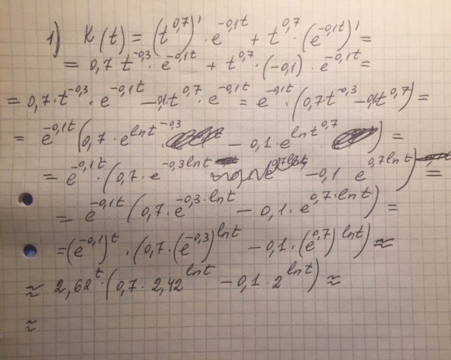
Hej, jag gjorde så, men vet inte vad kan jag göra med det nu


DreamChild skrev :Yngve skrev :DreamChild skrev :Hej,
Jan kan inte lösa följande uppgifter. Jag är bara intresserad i matematisk lösningen, alltsä själv fråga är super lång, ingen kommer att läsa det, men om ni är intresserad är det en gruppaktivitet i avsnitet 3.3. Deriveringsregler för exponentialfunktioner, matte 3c, boken Exponent 3c.
Kan nån hjälpa?
Hej.
1) Använd produktregeln och använd att derivatan av är .
Kommer du vidare då?
Hej, jag gjorde så, men vet inte vad kan jag göra med det nu
1) Derivatan är och du vill lösa ekvationen för att hitta ev. extrempunkter.
Eftersom så måste det gälla att om ekvationen ska ha någon lösning.
Dividera nu båda led med och .
Yngve skrev :DreamChild skrev :Yngve skrev :DreamChild skrev :Hej,
Jan kan inte lösa följande uppgifter. Jag är bara intresserad i matematisk lösningen, alltsä själv fråga är super lång, ingen kommer att läsa det, men om ni är intresserad är det en gruppaktivitet i avsnitet 3.3. Deriveringsregler för exponentialfunktioner, matte 3c, boken Exponent 3c.
Kan nån hjälpa?
Hej.
1) Använd produktregeln och använd att derivatan av är .
Kommer du vidare då?
Hej, jag gjorde så, men vet inte vad kan jag göra med det nu
1) Derivatan är och du vill lösa ekvationen för att hitta ev. extrempunkter.
Eftersom så måste det gälla att om ekvationen ska ha någon lösning.
Dividera nu båda led med och .
Tack! Fungerade bra!
Har du några tips för den andra fråga?