Derivatan till kurvan

Hur räknar man ut derivatan genom att använda att y=e^(ln(y))?
Kan du derivera funktionen utan att använda dig av det tipset? Om inte, vad är det som är krångligt?
Smaragdalena skrev:Kan du derivera funktionen utan att använda dig av det tipset? Om inte, vad är det som är krångligt?
Kan man ens derivera funktionen utan att använda sig av tipset?
Soderstrom skrev:Smaragdalena skrev:Kan du derivera funktionen utan att använda dig av det tipset? Om inte, vad är det som är krångligt?
Kan man ens derivera funktionen utan att använda sig av tipset?
(Det var det som jag tänkte att Kicke skulle få upptäcka...)

stämmer detta?
Nej. Vilken är den yttre funktionen? Vilken är den inre funktionen? Finns det ännu fler?
Smaragdalena skrev:Nej. Vilken är den yttre funktionen? Vilken är den inre funktionen? Finns det ännu fler?
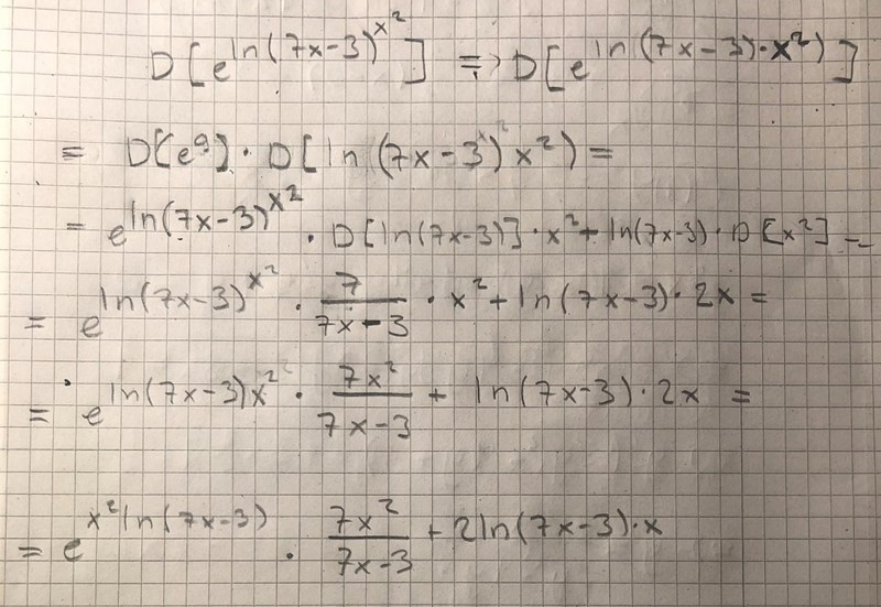
Den yttre funktionen är väl e^x och den inre funktionen ln(7x-3)*x^2. Ska man använda produktregeln då?
Kicke21 skrev:Smaragdalena skrev:Nej. Vilken är den yttre funktionen? Vilken är den inre funktionen? Finns det ännu fler?
Den yttre funktionen är väl e^x och den inre funktionen ln(7x-3)*x^2. Ska man använda produktregeln då?
Jag skulle påstå att du har tre nivåer: f(x) = 7x-3, g(u) = nåntingnåntingannat och h(v) = v2. Det är g(u) som är krångligast, inte sant?
Smaragdalena skrev:Kicke21 skrev:Smaragdalena skrev:Nej. Vilken är den yttre funktionen? Vilken är den inre funktionen? Finns det ännu fler?
Den yttre funktionen är väl e^x och den inre funktionen ln(7x-3)*x^2. Ska man använda produktregeln då?
Jag skulle påstå att du har tre nivåer: f(x) = 7x-3, g(u) = nåntingnåntingannat och h(v) = v2. Det är g(u) som är krångligast, inte sant?
g(u)=e^ln(u)? Men hur räknar man när man har tre sammansatta funktioner? Vet att man kan använda kedjeregeln när man har två
Du kan använda kedjeregeln så många gånger som du behöver.