2 svar
65 visningar
Lovantio behöver inte mer hjälp
Lovantio 11 – Fd. Medlem
Postad: 17 nov 2022 19:16

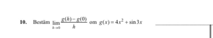
Derivatans definition

Suttit med denna uppgift ett tag men får inte rätt på den ändå!

inga hjälpmedel får användas

hjälp uppskattas!

mvh loca 

Marilyn 4014
Postad: 17 nov 2022 19:24

Oklart vilka förutsättningar som gäller. 

Jag misstänker att det är en “luring”. Uttrycket med limes framför är precis definitionen av derivatan i noll. Så om du deriverar g(x) och sätter in g’(0) så har du svaret.

Lovantio 11 – Fd. Medlem
Postad: 17 nov 2022 20:15

Tack! När jag gjorde så så stämde det!!!

Svara
Close