Derivatans definition
Hej,
Undrar hur man gör på fråga 3117 b).

Har du försökt? Hur blir det om du använder derivatans definition?
Alltid. Massor. Jag förstår inte, därför kan jag inte visa någonting.
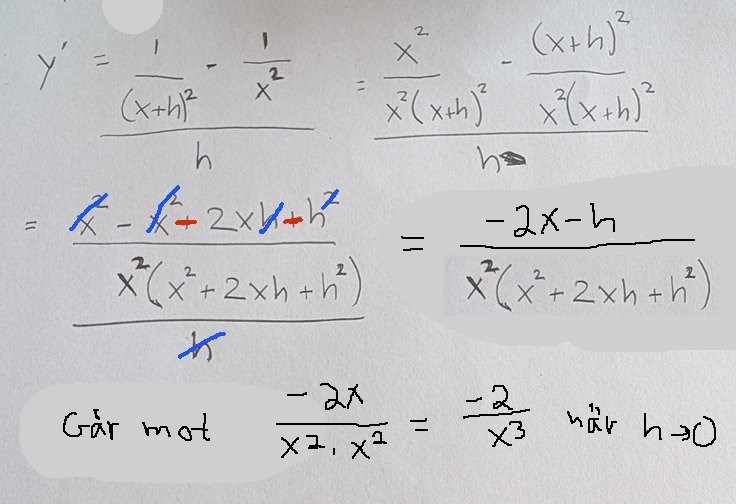
Vet inte hur jag använder det i derivatans definition. Försökte något igen nu, visar det.

Du har teckenbyten där du tog bort en parentes.
Fortsätt där (i stället för att gå bakåt) med att förkorta det stora bråket med h.
När h går mot noll får du kvar -2/x3. Då alla termer som fortfarande innehåller h försvinner.
y' är detta gränsvärde. Om du inte vill skriva lim h->0 före varje led kan du skriva "Jag använder derivatans definition" och spara y' till slutet.
Jag förstår inte.
Är det rätt såhär långt?
Nej, att sitta och hålla på med något man inte fattar någonting utav och bara gissa kan omöjligt ge någonting. Kollar lösningen och försöker begripa något utav det bara.
Dom separerar bråket i två delar i lösningen, varav den högra delen är negativ, varför blir det så?


Början på facits lösning är precis vad du skrev.
Efter att ha förenklat täljaren förkortar du med h.
Nu har du inte längre en nämnare som går mot noll.
När h går mot noll går bråket mot vad som blir kvar när du stryker alla termer med h.
Jag ser ingen större poäng med att dela upp bråket som de gjorde i facit.
Men minustecknet framför det andra bråket är minustecknet framför h före uppdelningen.
Stänger nu av för kvällen.
Tack!
Och precis, men tänkte att det minsutecknet är ju redan där i första bråket.
Godnatt.