Derivatans definition
Nu när jag repeterar derivatans definition blir jag förvirrad och speciellt den här uppgiften gör mig lite snurrig:

Vist är det så att man inte behöver derivera funktionen innan man använder definitionen? För nyss tänkte jag att f’(a) i formel bladet menade att man skulle derivera men det betyder väll att det är liksom deriveringen eller?

Om man har funktionen ovan så tycker jag att man borde skriva in -2x också för att det symboliserar ju liksom y men enligt lösningsförslagen skriver man bara ( )^2 -2. Varför då? Det hade ju varit mer logiskt om det var så att man deriverar innan men om man inte gör det så undrar jag liksom varför bara 2:an?
Eller är det så att det delas upp i termer typ att x^2 blir till (2+h) och -2x blir till (2) och hör ihop liksom? Men hur blir det då med fler termer i ekvationen?
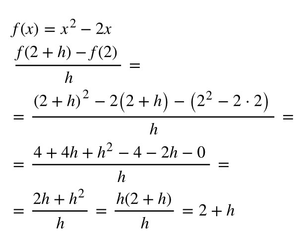
Skriv ut uttrycket f(2+h).
Skriv ut uttrycket f(2).
Skriv ut uttrycket f(2+h)-f(2).
Behöver du mer hjälp, så visa hur långt du har kommit och fråga igen.
Det blir inte rätt!

Jag förstår hur man gör men inte varför och det jag inte förstår är
om funktionen är y = f(x)=x^2 - 2x
varför representeras det då inte i definitionen?
f(2+h) bör ju betyda y då x är =2+h och då om man sätter in den funktionen i definitionen blir det ju fel!
Varför blir det det? Varför sätter man inte in det som funktionen är?
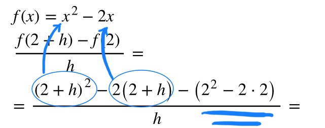
Angående lösningsförslaget undrar jag vad den sista delen det som är understryket representerar. Dock vet jag inte om jag har tänkt rätt med pilarna heller så en förklaring vore bra!

Dina pilar ser bra ut. Det som är understruket är f(2).