4
svar
401
visningar
Swateie behöver inte mer hjälp
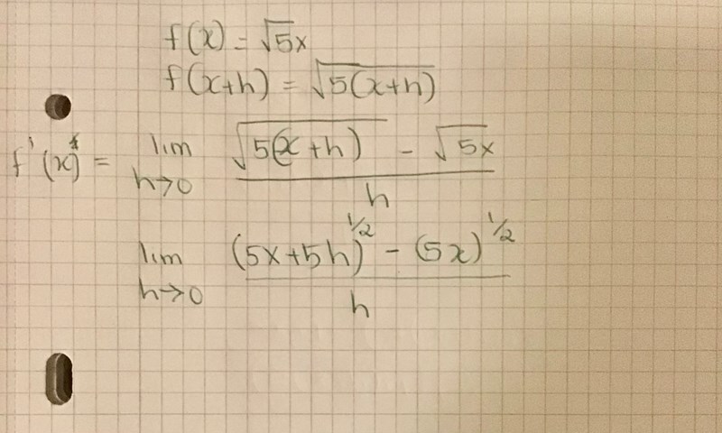
Derivatans definition

Jag försökte lösa den på följande sätt men kommer ej vidare. Tacksam om någon kan hjälpa

Mvh
Utmärkt! Förläng bråket med täljarens konjugat:
Vad får du om du förenklar täljaren? :)
Hej!
Kan du komma vidare?
Taack båda två 😃
jag fick följande
Det ser bra ut! :)