Derivatans definition
I en formelsamling står det att funktionen f(x) = ln x har derivatan f'(x) = 1/x för alla x > 0. Undersök om denna deriveringsregel verkar vara riktig. Du behöver inte utföra ett bevis.
Hur kan jag mha derivatans definition bevisa att det här sambandet stämmer?
Hur ska jag veta om jag ska dela ln(h+x) med h eller x?
Vet inte om man går igenom det i matte 3 men känner du till standarsgräsvärdet för ln(x)?
Nej inget man lär sig i ma3 vad jag vet
Från gammal pluggakut:

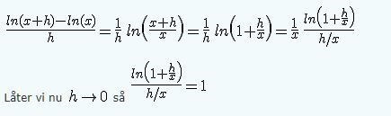
Sätt t ex x=10 och variera h=(0,1;0,01;…) och visa derivatan av ln(x) går emot 1/x när h->0
Jag såg den uträkningen men jag tyckte att den vara komplicerad att förstå/ hänga med. Kan du förklara stegvis vad för beräkning som utförs på bilden?
man använder standardgränsvärdet då
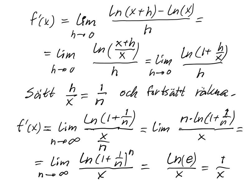
Du kan antingen göra som rapidos föreslår ovan eller så kanske man kan göra en omskrivning och härleda det med användning av e.
Vi vet att har derivatan och låter vi då kan vi skriva det som , nu kan du derivera HL och VL och så borde trilla ut.
Dracaena skrev:Du kan antingen göra som rapidos föreslår ovan eller så kanske man kan göra en omskrivning och härleda det med användning av e.
Vi vet att har derivatan och låter vi då kan vi skriva det som , nu kan du derivera HL och VL och så borde trilla ut.
Hur menar du?
prova att utföra deriveringen på båda led och se vad du får! :)
Dracaena skrev:prova att utföra deriveringen på båda led och se vad du får! :)
Vad betyder e^f(x)?
Katarina149 skrev:Dracaena skrev:prova att utföra deriveringen på båda led och se vad du får! :)
Vad betyder e^f(x)?
Kika på mitt inlägg här. i detta fallet och eftersom de är varandras inverser.
Kan du ta det stegvist istället? Fattar inte hur du resonerar
Okej, vi provar att ta det i steg istället!
- Är du med på att derivatan av är ?
- Är du med på att ?
- Om vi låter så får vi att (vi höjer upp VL och HL med e så vi får e^HL och e^VL).
- Eftersom för alla x så är det okej för oss att derivera HL och VL och få likheten
Vilken/ vilkar punkter hänger du inte med på? :)
Det är steg 3 som jag inte hänger med på
Vi har att , vi höjer upp högerled och vänsterled med e och då fås och detta är samma som , detta ger att men vi har ju sagt att och då får vi att och nu deriverar vi högerled och vänsterled.
Är det fortfarande oklart? :)
Varför ska man behöva göra på det här sättet? Det är ju krångligt
Du måste inte göra på det sättet, det är ett alternativt sätt att lösa uppgiften på, du har ju annars två metoder ovan som fungerar fint.
Sedan är det väl inte så krånligt egentligen, allt vi egentligen gör är ju att definera och sedan höjer vi upp HL och VL med e och sedan deriverar vi. :)
Men kan du förklara steg 3 & 4? För jag vill gärna förstå de
Okej, vi har att , tar vi nu båda leden och höjer upp med e får vi eftersom är du med så långt? Om inte får du säga till vad det är du fortfarande tycker verkar krångligt.
Helt ärligt är jag inte med :(
Okej, är du med på att om vi har likheten så är detta samma sak som och att detta är samma sak som ?
du kan också läsa det som står här.
Japp det är jag med på
Bra!
Vi gör exakt samma sak med för att få likheten oroa dig inte om , glöm inte att båda sidorna är lika så VL går att förenkla till x men det vill vi inte göra eftersom vi vill använda e för att ta reda på och då skriver vi om HL bara så att vi nu kan utnyttja vår omskrivning.
Är du med så långt?
japp!
Nu har vi , vi förenklar högerled till eftersom vi vill nu utnyttja vår omskrivning. Glöm inte att det står exakt samma sak i vänsterled därför att och VL är då .
Okej, nu är vi redo att derivera, Klarar du av att derivera ? :)
(tänk på kedjeregeln i vänsterled!)
Kedjeregeln kmr i matte 4 :(
ahhhh, förlåt, jag missade det helt!
Då kan jag visa dig hur det hade sett ut.
Vi deriverar och får och här vet vi att så vi har och nu har vi visat att om .
Du kan ju kika på kedjeregeln här om vill smyga dig lite i förväg i dina kurser!
kan man inte bevisa med hjälp av derivatans defintion?
Problemet är att detta måste göras utan standardgränsvärden så det fungerar inte heller. Jag tror att man måste görar som Rapidos var inne på ovan, se här.
Det är väl inte riktigt något 'standardgränsvärde' som används, mer en av definitionerna av ?
Hur som helst så i uppgiften står att man inte behöver utföra ett bevis, bara "undersöka om deriveringsregeln verkar vara riktig" (som man kan tolka på ungefär väldigt många sätt), och ligger under matte 3.
Kanske man tänkt sig att man ska dra någon sekant för några olika värden på och se om lutningen hos sekanten är ungefär lika med (numeriskt alltså). Det behöver kanske inte vara svårare än så.
Skulle det räcka med att grafiskt bevisa att det stämmer
Katarina149 skrev:Skulle det räcka med att grafiskt bevisa att det stämmer
Om du tänkte på mitt inlägg - grafiskt bevisa med approximationer? Knappast.
Det skulle dock kanske räcka, som jag skrev, att se om sekantens lutning är ungefär lika med (kanske du väljer ett -värde i mitten av intervallet du drar din sekant över, för att få lite bättre resultat). Det kan du göra grafiskt/numeriskt.
Jo du har rätt att det är definitionen av e men visst är det fortfarande ett gränsvärde? :)
Jag förstod det som att Katarina inte gått igenom något sådant, dvs standardgränsvärden inklusive gränsvärdet för e och då blir det lite svårt att använda derivatans definition om man inte gör som rapidos föreslog ovan. Den funkar nog säkert om man drar en sekant men då undrar jag om inte rapidos föreslag är det man eftersöker. Istället för att använda SGV för ln(1+x)/x då x går mot 0 kan man låta x vara litet och visa att det går mot 1, då kanske man kommer undan problemet att man inte känner till SGV för ln(x).
Dracaena skrev:Jo du har rätt att det är definitionen av e men visst är det fortfarande ett gränsvärde? :)
Jag förstod det som att Katarina inte gått igenom något sådant, dvs standardgränsvärden inklusive gränsvärdet för e och då blir det lite svårt att använda derivatans definition om man inte gör som rapidos föreslog ovan. Den funkar nog säkert om man drar en sekant men då undrar jag om inte rapidos föreslag är det man eftersöker. Istället för att använda SGV för ln(1+x)/x då x går mot 0 kan man låta x vara litet och visa att det går mot 1, då kanske man kommer undan problemet att man inte känner till SGV för ln(x).
Det är ett gränsvärde, men att kalla det ett standardgränsvärde mer än en definition av är något jag inte stött på tidigare (men visst, det är väl ett 'standard'gränsvärde åtminstone ;)).
Lösningsförslagen är ju inte fel, men det är mer av bevis för att faktiskt visa att deriveringsregeln är 'riktig'. Jag tror inte att det är tanken men uppgiften, utan att man bara ska kolla numeriskt/grafiskt på något sätt (exempelvis med hjälp av lämpliga sekanter) att deriveringsregeln verkar 'riktig'. I uppgiften står även att man inte behöver ge ett bevis - så man ska undersöka om deriveringsregeln verkar 'riktig' utan att ge ett bevis. Jag kommer inte direkt på något mer än att försöka göra något lämpligt grafiskt/numeriskt.
Men jag kan förstås ha fel. Det vore kul att veta hur uppgiftsskaparen tänkte sig att uppgiften skulle lösas, med tanke på den (enligt mig) vaga formuleringen.
Men jag kan förstås ha fel. Det vore kul att veta hur uppgiftsskaparen tänkte sig att uppgiften skulle lösas, med tanke på den (enligt mig) vaga formuleringen.
Håller helt med dig, personligen tycker jag att det är mycket enklare att bara bevisa derivatan för än att försöka tolka vad det är för metod uppgiftsskaparen vill att man ska använda. Men efter lite fundering verkar det verkar ändå rimligt att man har gått igenom gränsvärdet för e och då kan man nog ta Jan Ragnars väg. Annars är nog de enda alternativen att göra som rapidos föreslog(det är vad jag personligen tror uppgiftsskaparen ville att man skulle göra eftersom det ligger under matte 3) eller som du sa, man kanske kan dra en sekant av något slag.
.jpg?width=800&upscale=false)