Derivatans definition
bestäm f´(x) med hjälp av derivatans definition om f(x)= π√x
Hej, hur långt har du kommit? Vet du vad derivatans definition är samt hur man ställer upp den?
https://www.matteboken.se/lektioner/matte-3/derivata/derivatans-h-definition
Här kan du läsa och även se videor om detta.
Dracaena skrev:Hej, hur långt har du kommit? Vet du vad derivatans definition är samt hur man ställer upp den?
Dumborde skriva så här:
Du borde skriva så här:
Dracaena skrev:Hej, hur långt har du kommit? Vet du vad derivatans definition är samt hur man ställer upp den?
Jag försökte men kom verkligen inget längre än så

Troligtvis står det inte utan .
För säkerhets skull, kan du ladda upp en bild av uppgiften?
Yngve skrev:Troligtvis står det inte utan .
För säkerhets skull, kan du ladda upp en bild av uppgiften?
Det är kanske det!! 
Ja det är det.
Yngve skrev:Ja det är det.
okej, har du tips på hur man kan lösa uppgiften?
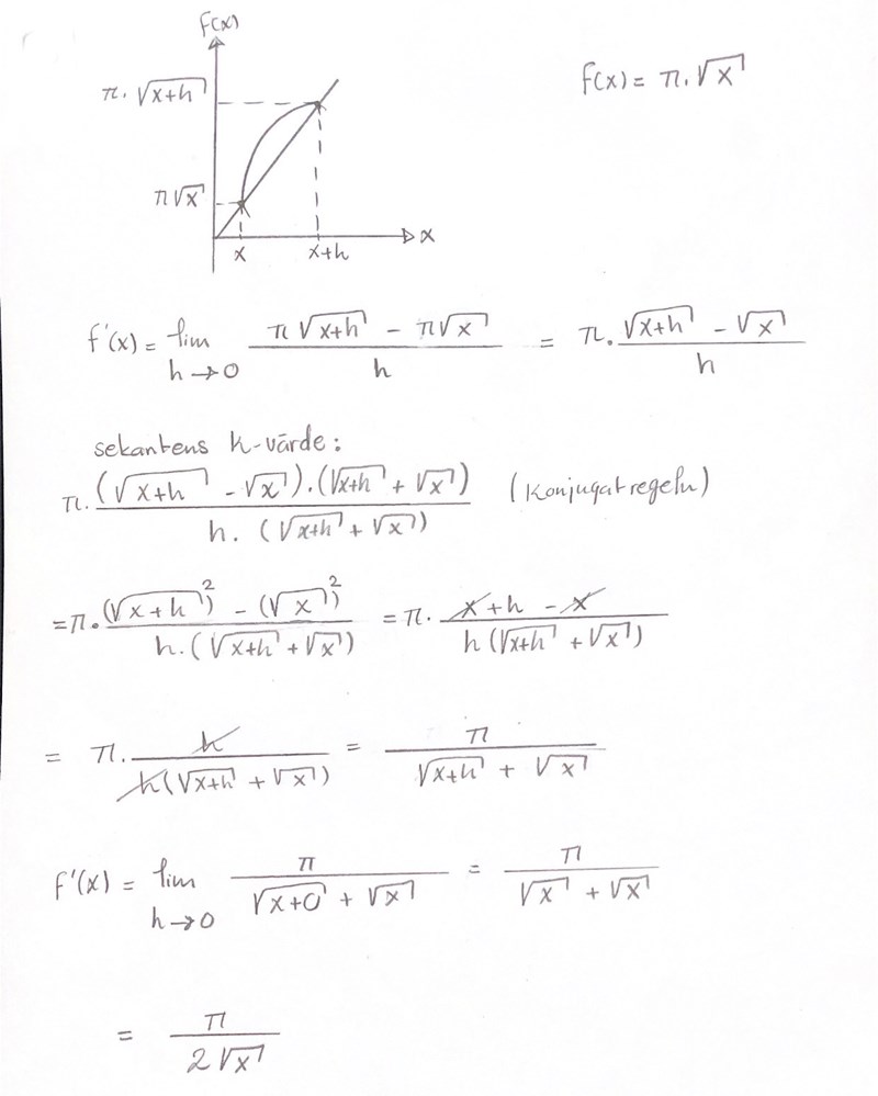
Eftersom så är .
Differenskvoten blir då .
Om du bryter ut får du .
Förläng nu med täljarens konjugat och använd konjugatregeln så kan du förenkla uttrycket rejält.
Visa dina försök.
Yngve skrev:Eftersom så är .
Differenskvoten blir då .
Om du bryter ut får du .
Förläng nu med täljarens konjugat och använd konjugatregeln så kan du förenkla uttrycket rejält.
Visa dina försök.

Snyggt!