Derivatans definition
Jag ska med hjälp av derivatans definition bestämma f´(x) då f(x)=
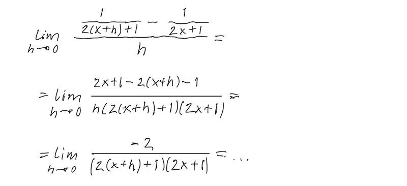
Jag har svårt att räkna med bråk i allmänhet. Jag kan inte heller hitta något liknande exempel i boken. Sätter man in funktionen i derivatans definition ser det ut såhär:
Och multiplicerar man in 2:
Jag började med att dela upp bråken då det kändes som att det skulle underlätta
Sedan tänker att man behöver addera 2x+1 eller 2x-1 för att kunna använda någon av kvaderingsreglerna eller konjugatregeln. Det längsta jag kom med var 2x-1 vilket resulterade i detta efter att ha multiplicerat in det i båda bråken.
och detta kan förenklas till
Och skriver man ihop dem nu blir det
Men sen kommer jag inte längre än så. Det känns som att jag är nära på att kunna använda konjugat- eller kvadreringsreglerna hur jag än gör men det blir aldrig rätt. Men sen vet jag inte ens om jag är på rätt spår överhuvudtaget.
Uppskattar all hjälp för att komma på rätt väg!
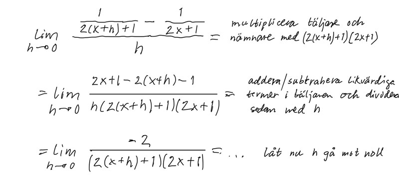
stinaangelica skrev:Jag ska med hjälp av derivatans definition bestämma f´(x) då f(x)=
Jag har svårt att räkna med bråk i allmänhet. Jag kan inte heller hitta något liknande exempel i boken. Sätter man in funktionen i derivatans definition ser det ut såhär:
Och multiplicerar man in 2:
Nej, skriv om täljaren till ett enda bråk istället.
Okej, hur ska jag göra för att förlänga nämnarna så de blir desamma? Jag har fastnat på hur jag ska förlänga dem. Måste jag förlänga de med varandra? Alltså (2x+2h+1)(2x+1) och (2x+1)(2x+2h+1)?
Det blir nog svårt att hitta någon gemensam faktor i nämnarna men som väl är fungerar det alltid att göra som du föreslår.
Tack för svar! Kan du förklara mer utförligt hur du har gjort i dina uträkningar?

