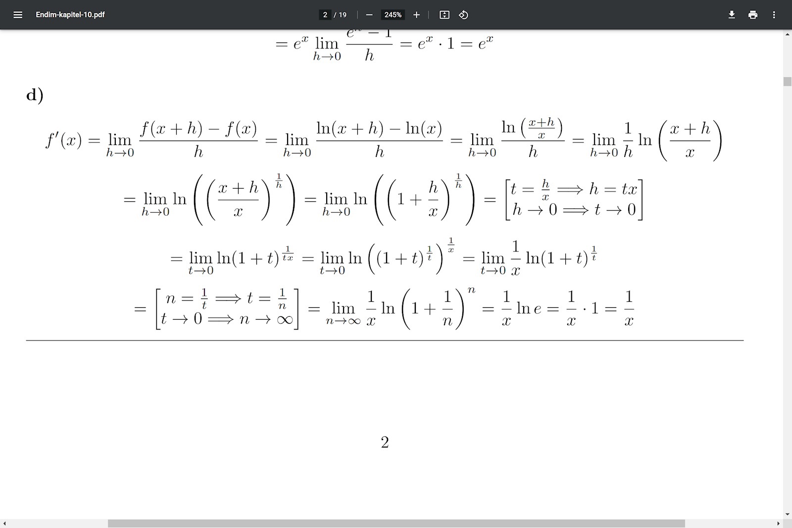
Derivatans definition - uppgift 10.2 d) f(x)=lnx

Detta är facit till uppgiften där man skulle lösa derivatan av lnx med hjälp av derivatans definition. Jag fastnade på steget vid variabelbytet där n började gå mot oändligheten... hur kan n gå till oändligheten när t inte kan göra det? Vad hände så det blev som det blev?
Du ser vad n går mot genom att använda 1/t och låta t gå mot 0, om jag fattade din fråga rätt 🤔
Micimacko skrev:Du ser vad n går mot genom att använda 1/t och låta t gå mot 0, om jag fattade din fråga rätt 🤔
I det första variabelbytet från h till t så hade gränsvärdet inte ändrats, men nu i andra variabelbytet så ändrades t till n, och n fick gränsvärdet till oändligheten. Hur gick n till oändligheten?
Du stoppar in den gamla variabelms gränsvärde i bytet.
t=h/x, stoppa in 0 som h så blir t=0
n=1/t, stoppa in 0 som t så blir n oändligt
Micimacko skrev:Du stoppar in den gamla variabelms gränsvärde i bytet.
t=h/x, stoppa in 0 som h så blir t=0
n=1/t, stoppa in 0 som t så blir n oändligt
borde inte t också gå mot oändligheten? de har ju i princip samma värden
Man vill få fram ett standardgränsvärde, så att man kan använda det.
Anwan skrev:Micimacko skrev:Du stoppar in den gamla variabelms gränsvärde i bytet.
t=h/x, stoppa in 0 som h så blir t=0
n=1/t, stoppa in 0 som t så blir n oändligt
borde inte t också gå mot oändligheten? de har ju i princip samma värden
Nej, man vill att h ska gå mot 0. Då går t också mot 0.
Laguna skrev:Anwan skrev:Micimacko skrev:Du stoppar in den gamla variabelms gränsvärde i bytet.
t=h/x, stoppa in 0 som h så blir t=0
n=1/t, stoppa in 0 som t så blir n oändligt
borde inte t också gå mot oändligheten? de har ju i princip samma värden
Nej, man vill att h ska gå mot 0. Då går t också mot 0.
Tänker mer på det andra variabelbytet, n och t är samma sak så varför går inte t mot oändligheten? [n=1/t => t=1/n, t->0 ??? => n->??]
Hur kan n och t vara samma sak? Om n = 1000 så är t = 0,0001.
Tillägg: 6 jan 2022 22:11
Rättelse: t = 0,001.
Laguna skrev:Hur kan n och t vara samma sak? Om n = 1000 så är t = 0,0001.
Tack för din hjälp, men jag förstå verkligen inte logiken av de sista stegen.
Anwan skrev:Laguna skrev:Hur kan n och t vara samma sak? Om n = 1000 så är t = 0,0001.
Tack för din hjälp, men jag förstå verkligen inte logiken av de sista stegen.
Vad är det du inte förstår? Hur långt hänger du med i förklaringen? Vilka substitutioner är begripliga? Är du med på varför man byter ut h/x mot t i den första hakparentesen?
Skillnaden mellan bytena är att i det första så sätter du in det gamla gränsvärdet, 0, i täljaren så allt blir 0.
I det andra stoppar du in det i nämnaren, och får något delat på 0, och det blir typ oändligt.
Förstår du var du ska stoppa in gamla gränsvärdet för att få fram nya? Du måste kolla vilken bokstav det är du byter bort.