Derivatans definition-vad gör jag för fel?
Hej,
I uppgift 2146 försöker jag förstå derivatans definition och har 2146 som uppgift.
1. Jag gör enligt bifogad bild men jag gör fel och undrar om jag kan få hjälp att steg för steg se hur jag skulle ha gjort istället.
2. JAg förstår heller inte varför svaret ska vara 40+h= 40, varifrån kommer 40 till höger om likhetstecknet?
Tack på förhand

Du gör rätt i del a) och b)
Så svaret i b) är 40+h
Om du sedan låter h->0 får du 40,
vilket är derivatans värde för x=5
tack för svar men jag förstår inte hur det blir 40. JAg försöker förstå derivatans definition och detta kan jag väl kanske förstå om det hade varit derivering av polynom. Men nu är jag inte riktig med...
Möjlighet att förklara närmare?
Tack på förhand
eller menas det att jag helt sonika ska sätta h=0? Då blir det 40...
Derivatans definition ser ut så här, hämtat från formelsamlingen:

Lim (limes) är gränsvärdet när h närmar sig 0.
Din uträkning gav 40+h, och ju mer h närmar sig 0, desto mer närmar sig svaret 40.
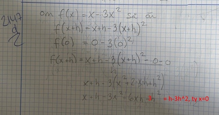
Det är samma sak med 2147, vet inte riktigt vad som blir fel
Här är det ett räknefel.

2 framför parentesen gäller alla termer i parentesen, inte bara första termen, 9.
Tack Sten, tror jag löste det, f´(3)=12. Nu har jag bara en undran till, i vilket steg i uträkningarna börjar man skriva lim h-->0 ?
Egentligen från början. Titta i Matteboken.se/Ma3/Derivata/Derivatans definition.
Först sätter man upp k-värdet mellan två punkter. I x-led är avståndet mellan punkterna h. Då blir k-värdet delta-y/delta-x, utan lim.
Men nör man försöker få fram k-värdet för en viss punkt och man minskar längden på h, så sätter man upp lim, när h går mot 0.
När man tror att det har gått in och håller på med fyra olika varianter av samma tal och inget blir rätt, vad gör man då?
Jag vill verkligen förstå vad jag gör för fel och undrar om någon kan hjälpa mig att förstå vad jag gör för fel?
Tack på förhand


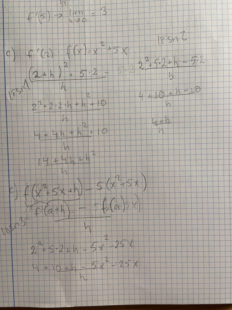
Du har skrivit 5•2 istället för 5•(2+h) i ändringskvotens täljare, se nedan.
Jag tror att det är bra att göra en liten "faktaruta" vid sidan av innan du sätter upp ändringskvoten. Då slipper du hålla reda på så mycket saker i huvudet samtidigt.
Typ så här:
Om f(x) = x2+5x så är
f(x+h) = (x+h)2+5(x+h)
Alltså är
- f(2) = 22+5•2
- f(2+h) = (2+h)2+5(2+h) <--- Det var den här sista termen du skrev som 5•2 istället.
Använd nu detta för att plocka ihop täljaren f(2+h)-f(2). Den blir då (2+h)2+5(2+h) - (22+5•2), vilket kan förenklas till 4+4h+h2+10+5h-4-10, vilket är lika med 9h+h2, vilket kan faktoriseras till h(9+h).
Kommer du vidare då?
=======
Om du vill kan du göra förenklingarna redan i faktarutan så blir det kortare betäkningar och därmed mindre risk att göra fel när du förenklar själva ändringskvoten, typ så här:
Eftersom så är
Då är
Ändringskvoten blir därför
Och så vidare.
Tack snälla Yngve, ska angripa problemet med hjälp av dina korrigeringar och tips så ser jag om jag kommer vidare. Uppskattar dina utförliga svar.
Jag kämpar på med detta och får rätt svar ibland men oftast inte, har försökt med steg för steg enligt Yngves inlägg men det blir ändå fel oftast, Vad är det jag bara inte kan få in i min skalle?
KOlla bilder med mina försök
tack för input



Hej Trollmor,
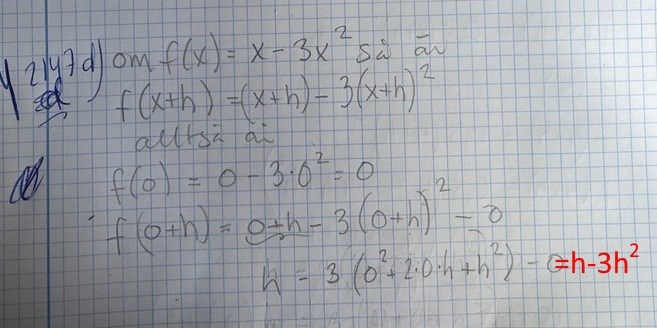
Om vi börjar med 2147d) så har du två gånger nästan kommit ända fram. Men du har slarvat lite i första försöket och båda gångerna har du inte gått fram till slutet.

Här har du alltså kommit fram till att täljaren ska vara
I nästa försök kommer du fram till att täljaren ska vara
Också denna gång har du alltså kommit fram till
Men hela uttrycket man ska beräkna är en kvot, och nämnaren är
Så du vill beräkna
Är du med?
Det är svårt att kommentera när du postar så många olika uträkningar samtidigt.
Generellt sett så blandar du ihop x och det x-värde du vill ta fram derivatan för.
TAck D4niel och Yngve, jag ska kolla på era förslag.
Svettigt att lära sig detta.
Ja, Yngve, jag ska göra så i fortsättningen att jag postar en sak i taget, förstår att det blir rörigt.
D4NIEL skrev:Hej Trollmor,
Om vi börjar med 2147d) så har du två gånger nästan kommit ända fram. Men du har slarvat lite i första försöket och båda gångerna har du inte gått fram till slutet.
Här har du alltså kommit fram till att täljaren ska vara
I nästa försök kommer du fram till att täljaren ska vara
Också denna gång har du alltså kommit fram till
Men hela uttrycket man ska beräkna är en kvot, och nämnaren är
Så du vill beräkna
Är du med?
TAck Snälla D4niel, uppskattar ditt engagemang och svar. Sååå svårt detta men jag övar på och nöter å nöter så kanske det fastnar till slut
Yngve skrev:Generellt sett så blandar du ihop x och det x-värde du vill ta fram derivatan för.
Som t.ex. här:

Ett tips är att du skapar din faktaruta enbart med det x-värde för vilket du vill bestämma derivatan.
Exempel:
Beräkna med hjälp av derivatans definition om .
Vi har då att
Med får vi att
Vår faktaruta:
===============
================
Derivatans definition:
Nu kan vi plocka in uttryck från vår faktaruta:
Tack Yngve, jag har förstått att jag blandar ihop uttrycken. JAg gillar faktarutan, den är bra.
Nu ska jag bara nöta på så att detta sitter som berget.
Innerligt tack alla som hjälper.