4
svar
88
visningar
Derivatans definiton
Hej
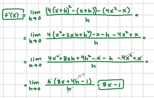
sitter här med en uppgift och fattar ej vad jag gör för fel. Om jag fattar uppgiften så ska jag med hjälp av derivatans definition visa att funktionen stämmer med derivatan. Men hur jag än gör lyckas jag inte komma dit. Inte ens när jag derivatan som vanligt. 
Hmm, det verkar som att uppgiften är lite tokig (felformulerad). Derivatan av f(x)=4x2-x är ju 8x-1. Är det det du kommer fram till med derivatans definition också?
Fattar inte den riktigt. Får det till 6x + 4 när jag använder mig av derivatans definition?
Kan du visa hur du har gjort?
När jag beräknar med derivatans definition får jag följande: