Derivatauppgift
Hej! Undrar vad som blir fel i nämnaren i mina beräkningar för följande uppgift


Om jag använder x=1 för f(x)=sqrt(-3x^2+12) i nämnaren får jag rätt svar. Vad gör jag för fel som kommer fram till att det ska stå f(3) i nämnaren?
Tack på förhand.
Så här ser mitt lösningsförsök ut:
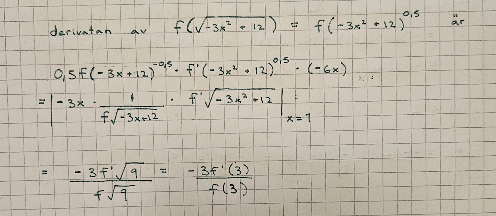
d/dx f[(–3x2+12)0,5] =
= f’[(–3x2+12)0,5] 0,5(–3x2+12)–0,5 (–6x) =-
= –3x f’[(–3x2 +12)0,5] / (–3x2+12)0,5
x = 1 ger –3 gånger 5 delat med roten ur 3 = –5 sqr3
Om nu ditt är fel, så tror jag att du i början tolkar f(sqr…) som sqr f(…). Du börjar med att ta ned 0,5 från exponenten och sätta framför, men den 0,5:an är inne i argumentet för f.
Det är skillnad på f (roten ur g) och roten ur f(g).
Men sådant här tycker jag är svårt att få en känsla för.
Så här får jag, stämmer det med facit?

Jo, det ser riktigt ut, jag gjorde ett slarvfel.