3
svar
137
visningar
Zeshen behöver inte mer hjälp
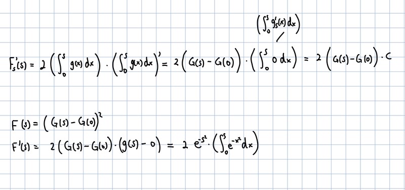
Derivation under integral

Hur räknar vi ut F’(s) med analysenshuvudsats och kedjeregeln?
Sätt
Döp din e-sak till g och primitiven (som inte ska räknas ut, bara döpas) till G. Räkna sen ut integralen som vanligt med insättningsformeln, innanför parentesen. Sen derivera på.

Tack! Testade två metoder men på den första verkar man bara få en konstant som är okänd, men det funkade på det andra sättet