Derivera
Hej igen!
Jag har deriverat denna funktionen y=2x*(√144-x^2)^1/2 och fick y’= -2x/(√144-x^2)
har jag räknat rätt drivatan? Jag vill räkna y’=0 men jag får konstigt svar.
-2x/(√144-x^2)=0 om jag multiplicerar med (√144-x^2)på båda sidorna så försvinner det, vilket ger fel svar.
Tack på förhand!
Om så räcker det att lösa ekvationen -2x=0 eftersom hela VL är lika med 0 om täljaren är det. (Detta är under förutsättnig att nämnaren inte är lika med 0.)
Aha ok, men det som jag ville beräkna är att hitta denna funktionens största vrälde y=2x*(√144-x^2)^1/2 . Jag har deriverat den såhär y’= -2x/(√144-x^2) är det rätt?
Om du vill hitta funktionens största värde skall du ta reda på var derivatan är 0.
Yes det är det som jag försöker att göra. Men jag får fel svar eftersom derivatan som jag fick är fel.
Hur är uppgiften formulerad från början?
Jag blir lite förvirrad av att det är både rottecken (som inte sträcker sig någonstans) och upphöjning till 1/2. Precis hur ser funktionen ut?
Ta en bild, eller rita själv, eller i värsta fall dela upp den i småbitar och visa.
Uppgift 3214 c
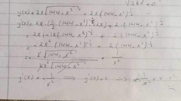
sorry om bilden är för stor ,lyckades inte göra det mindre😬. I allafall jag försökte att derivera funktionen y(x)= 2x√144-x^2 men fick fel.
Laguna skrev:Jag blir lite förvirrad av att det är både rottecken (som inte sträcker sig någonstans) och upphöjning till 1/2. Precis hur ser funktionen ut?
Ta en bild, eller rita själv, eller i värsta fall dela upp den i småbitar och visa.
Ojdå, sorry det blev lite fel. Det ska vara 2x√144-x^2 .
Du måste använda produktregeln vid deriveringen.
Men, det är enklare att maximera arean som en funktion av vinkeln .
Framför allt om man beaktar att:
Ok, men jag använde mig av kedjereglen. Varför blir det fel med kedjeregeln?
Visa spoiler
Skriv ditt dolda innehåll här
petti, det står i Pluggakutens regler att du bara skall ha en fråga i varje tråd. Starta en ny tråd för den nya frågan, det blir så rörigt annars. /moderator
Det fungerar inte med kedjeregeln i ditt förra fall eftersom kedjeregeln används när man har en sammansatt funktion, ine när det är en produkt av två funktioner som i det här fallet.
Det blir en kombination av produktregeln och kedjeregeln:
Smaragdalena skrev:petti, det står i Pluggakutens regler att du bara skall ha en fråga i varje tråd. Starta en ny tråd för den nya frågan, det blir så rörigt annars. /moderator
Det fungerar inte med kedjeregeln i ditt förra fall eftersom kedjeregeln används när man har en sammansatt funktion, ine när det är en produkt av två funktioner som i det här fallet.
Jag tog bort den. Men jag vet inte varför den raderas inte härifrån. Jag ber om ursäkt.
y=2x*(√144-x^2)^1/2 det här motsvarar väl inte det Smaragdalena skrev på latex? Det smaragdalena skrev är ju upphöjt till minus en halv
Jag fick det som är fortfarande fel. 
Vad är det som häbder från fjärde till femte raden?
Qetsiyah jag hänger inte med vad du menar. Det som Smaragdalena skrev i början av inlägget var funktionens derivata som jag hittade och var fel.
Förresten va svåra namn har ni!
Jag flyttade -2x^2( 144-x^2)^-1/2 till nämnare och 2(144-x^2)^1/2 i täljaren.
Du har gjort rätt i början, men sen har du gjort något konstigt när du sätter de båda termerna på gemensamt bråkstreck (överkryssat med rött).
Visa steg för steg hur du kom fram till det så hjälper vi dig att hitta feltänket.

petti skrev:Jag flyttade -2x^2( 144-x^2)^-1/2 till nämnare och 2(144-x^2)^1/2 i täljaren.
OK ett fel är att
, inte .
Men det förklarar inte hur de båda termerna kunde hamna på samma bråkstreck.
Ja precis! Nu märke jag det. Men kan inte -2x^2 stanna kvar i täljaren?
petti skrev:Ja precis! Nu märke jag det. Men kan inte -2x^2 stanna kvar i täljaren?
Jo, det var ju det jag skrev i mitt förra svar.
Oj ja juste! Jag får ändå fel resultat😐
Jag löste den! Tack ni är bästa!!Tack för all hjälp!
