20 svar
453 visningar
Dkcre behöver inte mer hjälp
Dkcre 3176
Postad: 6 jun 2025 23:17

Derivera

Hej

Hur ska man göra på 3131 b)?

Dkcre 3176
Postad: 6 jun 2025 23:21

Här har jag gissat någonting för att visa något.

AlexMu 1219
Postad: 6 jun 2025 23:27

Tänk såhär:

Produktregeln säger att derivatan till f(x)·g(x)f(x)\cdot g(x) är

f'x·gx+fx·g'x\displaystyle f^\prime\left(x\right)\cdot g\left(x\right) + f\left(x\right)\cdot g^\prime\left(x\right)

Jag antar att du är osäker på hur man kan göra nu när det är tre "olika" funktioner? Men det är faktiskt ingen skillnad!

Vi kan tänka oss att 2x·sinx2x \cdot \sin x är den första funktionen och e2xe^{2x} är den andra funktionen. 
Alltså:

f(x)=2x·sinx\displaystyle f(x) = 2x\cdot \sin x
gx=e2x\displaystyle g\left(x\right) = e^{2x}

Kan du fortsätta härifrån?

Dkcre 3176
Postad: 6 jun 2025 23:29

Det var så jag försökte tänka, men det skulle kunna vara f(x) × h'(x) × g'(x) eller f'(x) × h(x) × g(x) sedan upprepat så varje funktion får gå igenom en cykel.

Och jag vet inte. Testar.

Dkcre 3176
Postad: 6 jun 2025 23:32

Nej, jag kan inte. Med den logiken kan jag inte se något annat än att det bara ska vara 2 steg, men det är 3 i facit.

AlexMu 1219
Postad: 6 jun 2025 23:37
Dkcre skrev:

men det skulle kunna vara f(x) × h'(x) × g'(x) eller f'(x) × h(x) × g(x) sedan upprepat så varje funktion får gå igenom en cykel.

Jag är lite förvirrad vad du menar. Vad menar du med "det skulle kunna vara ..."? Alltså vad derivatan är?

Dkcre 3176
Postad: 6 jun 2025 23:39

Jag menar sammanfattat bara att jag inte vet hur man gör. Och kan inte resonera mig till hur man gör heller.

AlexMu 1219
Postad: 6 jun 2025 23:43 Redigerad: 6 jun 2025 23:45
AlexMu skrev:
Alltså:


f(x)=2x·sinx\displaystyle f(x) = 2x\cdot \sin x
gx=e2x\displaystyle g\left(x\right) = e^{2x}

Om vi fortsätter från denna ide har vi från produktregeln att derivatan av 2x·sinx·e2x=f(x)·g(x)2x\cdot \sin x\cdot e^{2x} = f(x)\cdot g(x) är

f'(x)·g(x)+f(x)·g'(x)f^\prime(x)\cdot g(x) + f(x)\cdot g^\prime(x)

Vi vet vad f(x)f(x) och g(x)g(x) är.

Om du hittar 
f'(x)f^\prime(x) och g'(x)g^\prime(x) kan du substituera in det i uttrycket ovan.

Produktregeln berättar vad derivatan av produkten av vilka två funktioner som helst är (så länge som de är deriverbara förstås). f(x)=2x·sinxf(x) = 2x\cdot \sin x är någon funktion, g(x)=e2xg(x)=e^{2x} är en annan. Så vi kan använda produktregeln på dem. 

Är du med på idén?

Dkcre 3176
Postad: 6 jun 2025 23:46 Redigerad: 6 jun 2025 23:48

Ja. Men det är ju svårare än så.

Eller f'(x) är: 2sinx + 2xcosx

G'(x) är 2e^2x

AlexMu 1219
Postad: 6 jun 2025 23:48
Dkcre skrev:

Ja. Men det är ju svårare än så.

Eller f'(x) är: 2sinx + 2xcosx

G'(x) är 2e^2x

Ja precis. Du har nu derivatorna som du nu kan substituera in! Det borde ge samma svar som i facit, kanske efter lite förenkling

Dkcre 3176
Postad: 6 jun 2025 23:51 Redigerad: 6 jun 2025 23:54

2sinx + 2xcosx × e^2x + 2e^x ×2x× sinx

Får inte till det tror jag. Eller är det rätt kanske.

AlexMu 1219
Postad: 6 jun 2025 23:54
Dkcre skrev:

2sinx + 2xcosx × e^2x + 2e^x ×2x× sinx

Den första termen bör nog ha en faktor av e2xe^{2x}. Annars ser det korrekt ut tror jag. 

Dkcre 3176
Postad: 6 jun 2025 23:54

Hur kan det bli så 

Dkcre 3176
Postad: 6 jun 2025 23:56 Redigerad: 6 jun 2025 23:56

Eller nej glöm det, jag fattar.

(2sinx +2xcosx) E^2x = e^2x2sinx + e^2x2xcosx

Väldigt stökigt då men

AlexMu 1219
Postad: 6 jun 2025 23:57 Redigerad: 7 jun 2025 00:00
Dkcre skrev:

Väldigt stökigt då men

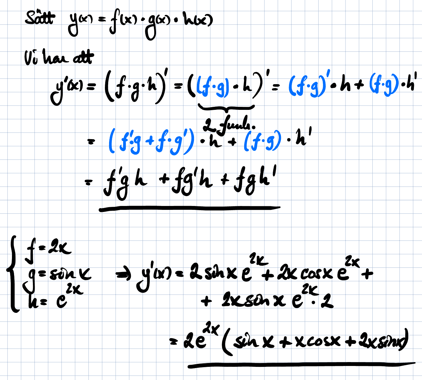
Derivator kan bli rätt stökiga när man har flera termer såhär! Ett litet uttryck kan bli gigantiskt! Ett exempel jag hittade på nu:

Dkcre 3176
Postad: 6 jun 2025 23:59

Hade jag kunnat gjort f(x) = sinx × e^2x istället också? Det borde bli lika va?

AlexMu 1219
Postad: 7 jun 2025 00:00
Dkcre skrev:

Hade jag kunnat gjort f(x) = sinx × e^2x istället också? Det borde bli lika va?

Ja, vilken kombination som helst bör ge samma svar.

Trinity2 Online 4347
Postad: 7 jun 2025 00:02
Dkcre skrev:

Hade jag kunnat gjort f(x) = sinx × e^2x istället också? Det borde bli lika va?

Det följer ett enkelt mönster

Dkcre 3176
Postad: 7 jun 2025 00:03

Okej, Tack.

Om man då hade sex olika funktioner i samma, skulle man då ha delat upp det i två funktioner och gjort 3 olika uträkningar för derivator på sidan av först?

AlexMu 1219
Postad: 7 jun 2025 00:04 Redigerad: 7 jun 2025 00:05
Dkcre skrev:

Okej, Tack.

Om man då hade sex olika funktioner i samma, skulle man då ha delat upp det i två funktioner och gjort 3 olika uträkningar för derivator på sidan av först?

Ja, det kan man göra. Man kan hitta en generell formel för en produkt av nn funktioner om man vill (med induktion). Det följer nog samma mönster som Trinity2 tog fram. 

Dkcre 3176
Postad: 7 jun 2025 00:06

Okej 🙂 tack 

Svara
Close