5
svar
130
visningar
tissam812 behöver inte mer hjälp
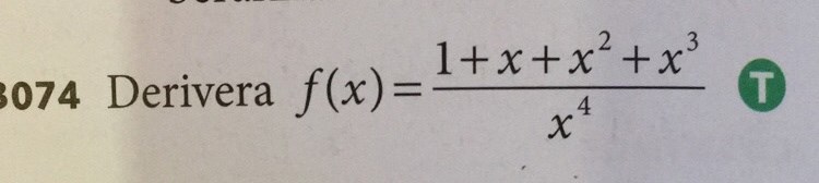
Derivera
Hej. Skulle behöva hjälp med att derivera denna
antar att jag först ska använda potenslagarna för att flytta upp x^4, men hur jag än gör så verkar det inte bli rätt
Hej
Dela upp funktion på följande sätt:
Kommer du vidare?
jonis10:s lösning är den smidigaste, men visar ändå en alternativ lösning som är lite rolig.
...
Det är precis så jag gjort hittills men när jag sedan ska derivera f(x) får jag följande, vilket inte stämmer med facit.
Ja det stämmer, sen kan du skriva om det på följande sätt:
Bifogar fortsättningen på min lösning nedan.
