Derivera då x finns i täljare & nämnare
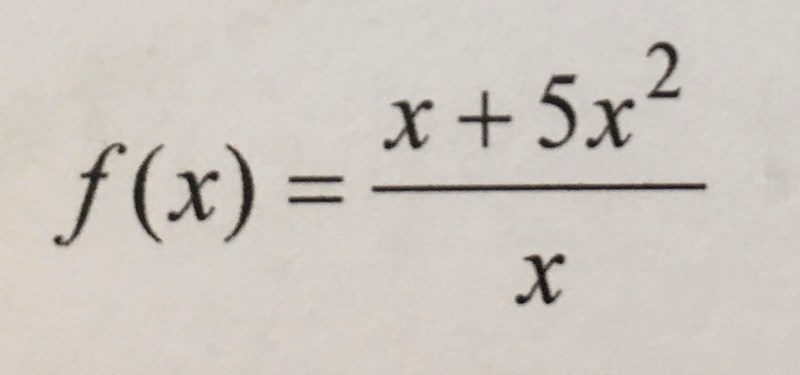
Jag behöver hjälp att derivera nedanstående funktion. Jag känner att jag inte riktigt vet hur jag ska gå till väga när x finns både i täljaren och nämnaren!
Detta är mina inte så lockade försök till uträkningen. (Svaret ska bli =5)

Om du gör den omskrivning du gjort nu, måste du använda produktregeln. Den lärs ut först i Ma4. Ett bättre förslag är att förenkla innan du deriverar:
Ser du vad vi kan göra?
Du kan utföra divisionen. Vad är x/x? Vad är 5x2/x?
Oj jag tänkte inta alls på att förenkla innan deriveringen! Det var ju smart!
Tack så mycket för hjälpen! Det var ju inte alls särskilt svårt!
Det är chockerande hur mycket i matten som går ut på att ta saker vi inte kan jobba med och förenkla dem tills det går att arbeta med dem. :)