Derivera en integral med avseende på övre gränsen


Hej, jag behöver hjälp med att: skriva om integralen som ett ode-problem genom att derivera med avseende på övre gränsen. Sen bör jag använda MATLAB, ode45, för att lösa de ingående ODE problemen.
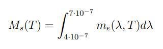
Svårigheten för mig består främst i att jag inte vet hur jag gör den omskrivningen! Känns som om att jag bara går i cirklar. Tänker att man ska använda analysen fundamentalsats men vi har ju en konstant i över gränsen, så då får vi väl multiplicera med noll. I vänsterled får vi också noll, ty M_s beror av endast T? Testade att utveckla integral och därefter derivera båda sidor m.a.p. "L" vilket jag stoppade in istället för 7*10^(-7). Kommer inget vart i alla fall. Går i cirklar.
Tack för all form av assistans på förhand!
Det är bra om du lägger upp hela uppgiften innan du förväntar dig svar. T ex har du inte med definitionen av M_e(T)
parveln skrev:Det är bra om du lägger upp hela uppgiften innan du förväntar dig svar. T ex har du inte med definitionen av M_e(T)

Ursäkta! Jag hade bilden men råkade visst missa att ladda upp den. Tack för uppmaningen, säg gärna till om det är någon mer information ni finner relevant. Jag är mycket tacksam för all hjälp jag kan få! Verkar tyvärr inte gå fram åt hur jag än vrider och vänder på det.
Ska man tänka i dessa banor?


Bumpar min tråd.
Bumpar min tråd.