2
svar
61
visningar
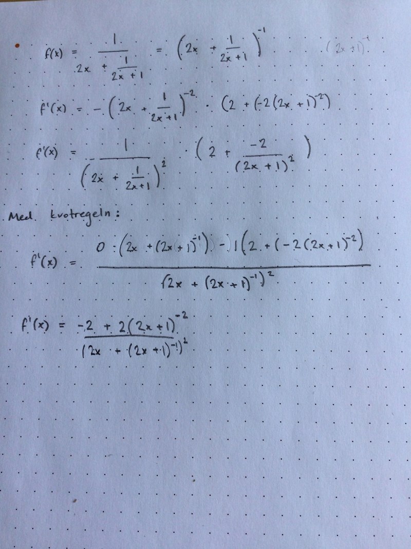
Derivera en kvot utan och med kvotregeln
Det finns inget facit till frågan. Kan någon säga om jag gjort rätt. Om annars, vad är felet?

Blir det samma svar?
Ja det blir det om man tittar noga. Är det rätt då?